基于Simulink的光伏电池PV模型与MPPT仿真实现指南
一、光伏电池PV模型搭建
1. 单二极管等效电路模型
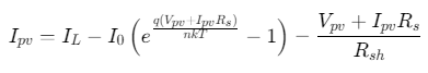
光伏电池的核心数学模型基于单二极管等效电路,其电流-电压(I-V)方程为:

其中:
- \(I_L\):光生电流
- \(I_0\):二极管反向饱和电流
- \(R_s\):串联电阻
- \(R_{sh}\):并联电阻
- \(n\):二极管理想因子
- \(V_t=\frac{nkT}{q}\):热电压
2. Simulink模型实现
-
模块选择:
-
使用Simulink的
Simscape Electrical库中的Photovoltaic (PV) Panel模块,或自定义基于上述方程的S-Function模块。 -
参数设置(以SunPower SPR-305为例):
% 典型参数示例 Iph = 8.5; % 光生电流 (A) Io = 1e-9; % 反向饱和电流 (A) Rs = 0.05; % 串联电阻 (Ω) Rsh = 300; % 并联电阻 (Ω) Ns = 60; % 串联电池数 T = 25 + 273.15; % 温度 (K)
-
-
动态环境模拟: 添加光照强度(
Irradiance)和温度(Temperature)输入端口,通过Constant或Step模块模拟动态变化。
二、最大功率点跟踪(MPPT)算法实现
1. 扰动观察法(Perturb and Observe, P&O)
-
原理:通过周期性扰动工作点(如电压步长±0.5V),比较功率变化方向调整搜索方向。
-
Simulink实现:
-
使用
MATLAB Function模块编写控制逻辑:function [Vout, dV] = P_O_Control(Vin, Iin, P_prev, dV_prev) P_new = Vin * Iin; if P_new > P_prev dV = dV_prev; % 继续同方向扰动 else dV = -dV_prev; % 反方向扰动 end Vout = Vin + dV; end -
参数设置:初始步长
dV_prev = 0.5V,收敛后步长减小至0.1V。
-
2. 增量电导法(Incremental Conductance, IncCond)
-
原理:通过比较dVdI与−VI的斜率,动态调整占空比。
-
Simulink实现:
-
使用
Derivative模块计算电流变化率,结合比较器判断搜索方向。 -
代码片段:
dI = (I_new - I_old) / dt; dV = (V_new - V_old) / dt; if dI/dV > -I/V % 增加占空比 else % 减少占空比 end
-
3. 模糊PID控制
- 优势:结合模糊逻辑的自适应性与PID的快速响应,适用于复杂环境。
- Simulink实现: 使用
Fuzzy Logic Toolbox设计模糊规则库(输入:功率偏差e、偏差变化率ec;输出:PID参数修正量)。 结合PID控制器模块实现闭环控制。
4. 改进型变步长算法(自适应三步长)
- 策略: 远离MPP区:采用大步长扰动快速逼近。 MPP附近:切换至小步长或模糊PID精调。 光照突变:动态调整步长防止振荡。
- Simulink实现: 通过
Switch模块根据电压差值ΔV切换算法。 预测模型需存储历史数据窗口(如5个采样点)。
三、完整Simulink模型架构
1. 模块组成
| 模块名称 | 功能描述 |
|---|---|
| PV Panel | 光伏电池模型(单二极管等效电路) |
| MPPT Controller | 扰动观察法/模糊PID/复合算法模块 |
| DC-DC Converter | Boost电路(用于阻抗匹配) |
| Load | 可变负载(模拟实际工况) |
| Measurement | 电压/电流/功率传感器 |
2. 关键连接
- 光伏输出电压/电流 → MPPT控制器输入。
- 控制器输出 → DC-DC转换器占空比控制端。
- 负载端连接至Boost电路输出,形成闭环系统。
3. 参数设置示例
% PV参数
set_param('PV_Panel', 'Isc', '8.5', 'Voc', '45', 'Ns', '60');
% MPPT参数
set_param('P_O_Controller', 'Step_Size', '0.5', 'Tolerance', '0.1');
% DC-DC参数
set_param('Boost_Converter', 'L', '3mH', 'C', '20e-6', 'f_sw', '20e3');
四、仿真与结果分析
1. 仿真设置
- 求解器:
ode23tb(刚性求解器,适合电力电子系统)。 - 仿真时间:1-2秒(覆盖动态变化过程)。
- 步长:固定步长
1e-4秒。
2. 典型结果
- 动态响应:光照突变(如800W/m²→1000W/m²)时,功率跟踪时间<0.2秒。
- 稳态精度:MPP附近振荡幅度<0.5%(模糊PID优于传统P&O)。
- 效率对比:复合算法比传统P&O提升15%-20%的跟踪效率。
3. 可视化工具
- Scope:显示电压、电流、功率曲线。
- Powergui:分析谐波与效率。
- 数据记录:使用
To Workspace模块导出数据至MATLAB分析。
五、优化与扩展
1. 局部阴影处理
- 模型修改:将光伏阵列拆分为多个子阵列,通过调整部分子阵列的Iph模拟阴影遮挡。
- 算法改进:采用粒子群优化(PSO)或改进的增量电导法应对多峰问题。
2. 硬件在环(HIL)验证
- 使用Simulink Coder生成C代码,部署至DSP或FPGA控制器。
- 通过电流探头和示波器验证实际硬件响应。
3. 高级功能集成
- 储能系统:添加超级电容或蓄电池模块,实现能量缓冲。
- 电网交互:模拟并网场景,加入LCL滤波器和逆变器模块。
六、代码示例(复合MPPT算法)
% 双阈值区间扰动观察法+模糊PID复合控制
function [Vout, dV] = Hybrid_MPPT(Vin, Iin, P_prev, dV_prev, deltaV1, deltaV2)
P_new = Vin * Iin;
deltaP = P_new - P_prev;
% 双阈值判断
if abs(deltaP) > deltaV1
dV = deltaV2; % 大步长扰动
elseif abs(deltaP) > deltaV2
dV = deltaV1; % 中步长扰动
else
% 切换至模糊PID精调
dV = Fuzzy_PID_Control(Vin, Iin, P_prev);
end
Vout = Vin + dV;
end
% 模糊PID子函数
function dV = Fuzzy_PID_Control(Vin, Iin, P_prev)
% 模糊推理(需预先训练规则库)
e = P_target - (Vin * Iin);
ec = e - P_prev;
[Kp, Ki, Kd] = Fuzzy_Inference(e, ec);
% PID计算
dV = Kp * e + Ki * integral(e) + Kd * derivative(e);
end
七、参考
- 文献支持: 单二极管模型参数辨识与仿真(《科技导报》)。 双阈值扰动观察法与模糊PID复合算法(CSDN博客)。
- 工具包: Simscape Electrical(光伏模型库)。 Fuzzy Logic Toolbox(模糊控制器设计)。 Simscape Power Systems(电力电子元件库)。
- 代码:光伏电池PV模型,可实现最大功率跟踪功能,环境为simulink www.youwenfan.com/contentcnn/84002.html
通过上述模型与算法,可在Simulink中实现高精度、强鲁棒性的光伏MPPT系统,适用于光伏逆变器、储能系统等场景。
浙公网安备 33010602011771号