征程 6|工具链量化简介与代码实操
一、量化简述
1.1 定义
将网络参数从 32 位浮点数据映射到更低位数(int16/int8/int4 等)的数据,这个过程称之为量化。反之,称之为反量化。
量化本质上是对数值范围的重新调整,可以「粗略」理解为是一种线性映射。(之所以加「粗略」二字,是因为有些论文会用非线性量化(对数量化等),但目前在工业界落地的还都是线性量化(对称量化、非对称量化、二值化等),地平线采用的主要是线性量化中的对称量化。

反量化一般没有信息损失,而量化一般会有精度损失。这是由于 float32 能保存的数值范围比 uint8 多,因此必定有大量数值无法用 uint8 表示,只能四舍五入成 uint8 类型的数值,继而引起量化误差。
量化的可行性依据:神经网络具有良好的鲁棒性,将高精度模型量化到低精度模型,这个过程可以认为是引入了噪声,而模型对噪声相对不敏感,因此量化后的模型也能保持较好的精度。
量化的目的:降低计算复杂度,提高模型推理速度,降低存储体积,减少计算能耗。在一些对能耗和时间要求更高的场景下,量化是一个必然的选择。

量化的可行性依据:神经网络具有良好的鲁棒性,将高精度模型量化到低精度模型,这个过程可以认为是引入了噪声,而模型对噪声相对不敏感,因此量化后的模型也能保持较好的精度。
量化的目的:降低计算复杂度,提高模型推理速度,降低存储体积,减少计算能耗。在一些对能耗和时间要求更高的场景下,量化是一个必然的选择。
1.2 浮点/定点转换公式
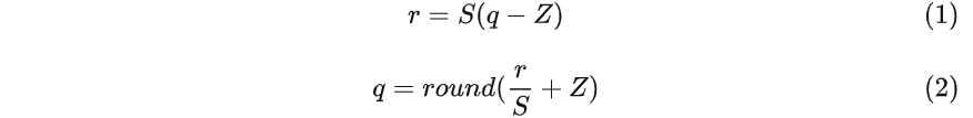
用 r 表示浮点实数,q 表示量化后的定点整数。浮点和整型之间的换算公式为:

其中,S 是 scale,表示实数和整数之间的比例关系,Z 是 zero point,表示实数中的 0 经过量化后对应的整数,它们的计算方法为:

其中, $$r_{min}$$、 $$r_{max}$$ 分别是 浮点实数r 的最小值和最大值, \( q_{min} \) 、\( q_{max} \) 分别是定点整数 q 的最小值和最大值。
重点解释:定点整数的 zero point 代表浮点实数的 0,二者之间的换算不存在精度损失,这一点可以从公式 (2) 中看出来,把 r=0 代入后就可以得到 q=Z。这么做的目的是为了在 padding 时保证浮点数值的 0 和定点整数的 zero point 完全等价,保证定点和浮点之间的表征能够一致。
对称/非对称量化:当实数中的 0 量化后对应整数 Z 也是 0 时,称之为对称量化,否则,为非对称量化。对称量化相比于非对称量化的精度可能要差一些,但速度会快一些,原因可见公式(7),将公式中的 Z 置零。
1.3 矩阵运算的量化
卷积网络中的卷积层和全连接层本质上都是一堆矩阵乘法,下面我们来看一看如何将矩阵中的浮点运算转换为定点运算。
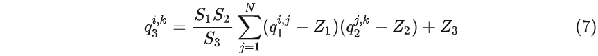
假设 \( r_{1} \)、\( r_{2} \) 是浮点实数上的两个 N×N 的矩阵,\( r_{3} \) 是 \( r_{1} \)、\( r_{2} \) 相乘后的矩阵,矩阵相乘可表示为:

假设 \( S_1 \)、\( S_2 \) 是\( r_1 \)矩阵对应的 scale 和 zero point,\( S_2 、Z_2 、S_3 、Z_3 \) 同理,那么由 (5) 式可以推出:

整理一下可以得到:

观察 (7) 式可以发现,除了 \( S_1S_2/S_3 \) ,其它都是定点整数运算。
那如何把 \( S_1S_2/S_3 \)也变成定点运算呢?
假设\( M=S_1S_2/S_3 \),由于\( M_0 \)通常都是 (0, 1) 之间的实数 (这是通过大量实验统计出来的),因此可以表示成\( M=2^{−n}M_0 \),其中 \( M_0 \)是一个定点实数。注意,定点数并不一定是整数,所谓定点,指的是小数位数是固定的。
因此,如果存在\( M=2^{−n}M_0 \),我们就可以通过 \( M_0 \) 的 bit 位移操作实现\( 2^{−n}M_0 \),这样整个矩阵计算过程就都在定点上计算了。
本节主要参考链接:https://zhuanlan.zhihu.com/p/149659607
二、征程 6 工具链中的量化
从征程 6 OE3.0.31 版本开始,量化方式有所调整,主要影响 QAT 算法侧与 UCP 软件侧。修改内容:QAT 从 floor(x_data + 0.5)变成 nearbyint(x_data),可以理解为“向最近偶数舍入”,称之为“round-half-to-even”。
下面主要介绍征程 6 工具链 OE3.0.31 及以后量化公式写法,并简单介绍反量化节点的实现。
量化 Quantize 节点用于将模型 float 类型的数据量化至 int 类型,下面先对量化的公式和代码进行介绍。
2.1 numpy 实现
import numpy as np
input_float = np.array([-2.5, -1.5, -0.5, 0.5, 1.5, 2.5])
scale = 1.0 # scale为 量化系数 或 比例因子
data_round_div = np.round(input_float / scale)
# int8量化
data_clip = np.clip(data_round_div, -128, 127).astype(np.int8)
# int16量化
data_clip_int16 = np.clip(data_round_div, -32768, 32767).astype(np.int16)
print("原始值input_float:", input_float)
print("np.round(input_float / scale):", data_round_div)
print("np.clip(data_round_div, -128, 127):", data_clip)
输出:
原始值input_float: [-2.5 -1.5 -0.5 0.5 1.5 2.5]
np.round(input_float / scale): [-2. -2. -0. 0. 2. 2.]
np.clip(data_round_div, -128, 127): [-2 -2 0 0 2 2]
注意:np.round 在 。5 的时候会“向最近偶数舍入”(2.5 → 2,1.5 → 2),其他写法时注意也要这样。
解释:NumPy 默认采用的是 “round half to even”(银行家舍入法)
2.2 Pytorch 实现
import torch
input_float = torch.tensor([-2.5, -1.5, -0.5, 0.5, 1.5, 2.5])
scale = 1.0
data_round_div = torch.round(input_float / scale)
# int8量化
data_clamp = torch.clamp(data_round_div, -128, 127).to(torch.int8)
# int16量化
data_clamp_int16 = torch.clamp(data_round_div, -32768, 32767).to(torch.int16)
print("原始值:", input_float)
print("torch.round(input_float / scale):", data_round_div)
print("torch.clamp(data_round_div, -128, 127):", data_clamp)
输出:
原始值: tensor([-2.5000, -1.5000, -0.5000, 0.5000, 1.5000, 2.5000])
torch.round(input_float / scale): tensor([-2., -2., -0., 0., 2., 2.])
torch.clamp(data_round_div, -128, 127): tensor([-2, -2, 0, 0, 2, 2], dtype=torch.int8)
注意:torch.round 默认是 round-half-to-even
2.3 C++实现
#include <iostream>
#include <vector>
#include <cmath>
#include <algorithm>
// 对称 int8 量化函数(zero_point = 0)
int8_t quantize_core(float input, float scale, int32_t zero_point) {
int qunantized_data = std::nearbyint(input / scale + zero_point);
return std::min(std::max(-128, qunantized_data), 127);
}
// 对称 int16 量化函数(zero_point = 0)
int16_t quantize_core_int16(float input, float scale, int32_t zero_point) {
int qunantized_data = std::nearbyint(input / scale + zero_point);
return std::min(std::max(-32768, qunantized_data), 32767);
}
// 批量量化函数,对称int8量化
std::vector<int8_t> quantize_tensor(std::vector<float>& data, float scale) {
std::vector<int8_t> result;
for (float val : data) {
result.push_back(quantize_core(val, scale, 0));
}
return result;
}
// 测试主函数
int main() {
std::vector<float> input_data = {-2.5f, -1.5f, -0.5f, 0.5f, 1.5f, 2.5f};
float scale = 1.0f;
// 对称int8量化
auto quantized = quantize_tensor(input_data, scale);
std::cout << "Quantized (int8): ";
for (auto q : quantized) std::cout << static_cast<int>(q) << " ";
std::cout << std::endl;
return 0;
}
编译运行:
g++ -std=c++11 2.cpp -o quant
./quant
输出:
Quantized (int8): -2 -2 0 0 2 2
注意:不能使用 std::round,需要使用 std::nearbyint,std::nearbyint 可控制舍入模式(默认是“银行家舍入”)。
补充:如果使用如下写法也是可以的:
// 设置当前线程的浮点舍入模式为 最近值舍入(四舍六入,五成偶)
// std::nearbyint 默认使用该模式
std::fesetround(FE_TONEAREST);
// 参数为 float,返回 float
std::nearbyintf(res);
三、征程 6 工具链中的反量化
反量化 Dequantize 节点用于将模型中 int8 或 int32 类型的数据反量化回 float 类型,其计算公式如下:
dequantize_x = (x - zero_point) * scale
如下为 Dequantize 节点的 C++的实现代码:
//简单版本
static_cast<float>(input - zero_point) * scale
//标准版本
template <typename T>
float dequantize_core(T input, float scale, int32_t zero_point) {
return (input - zero_point) * scale;
}
浙公网安备 33010602011771号