SVM——针对线性可分(上)
看了好多大佬的文章,怕看完就忘,简单整理一下。
支持向量机原理(一) 线性支持向量机 - 刘建平Pinard - 博客园 (cnblogs.com)
机器学习之支持向量机(一):支持向量机的公式推导 - 追寻的鹿 - 博客园 (cnblogs.com)
用人话讲明白支持向量机SVM(上) - 知乎 (zhihu.com)
码一下我看的几篇文章,以防看不懂可以翻一翻大佬写的。
一、认识支持向量机
- 支持向量机是处理数据分类问题,一般是用于解决二分类问题,线性分类和非线性分类都支持;
- 目的是学会一个二分类的函数模型,属于监督式学习的方法,被广泛应用于统计分类和回归分析;
- 通过建立一个超平面对样本数据进行分类,超平面涉及到凸优化、拉格朗日乘数法、对偶问题的应用;
- 本文以线性可分为例,来找最优的超平面。
二、线性可分和线性不可分
(1)线性可分
线性可分是指能使用线性组合组成的超平面将两类集合分开。
比如一维空间的点,二维空间的直线,三维空间的平面,高维空间叫超平面。
(2)线性不可分
线性不可分则没有能将两类集合分开的超平面。
主要通过松弛变量、核函数来实现。
例如:二维线性可分、二维线性不可分、三维线性可分、三维线性不可分




三、符号定义
(1)样本数据
n个样本;
每个样本有p个输入 ,1个输出;(p为维数)
则第i个样本的输入: ;
输出y:一般用1和-1作为两类样本的标签;
(2)样本训练集

(3)训练目的
以训练样本作为研究对象;
找到一个超平面;其中
;
将两类样本有效分开;
该公式的来源我们继续往下看。。。。。
四、线性分类器的含义
为了方便理解,我们以二维为例,先了解一下线性分类器:

红色方形的标签为1,黄色圆点的标签为-1(自己定义的,后续会说定义为1的原因。。。)
蓝色直线为
的区域是y=1类别的点(为什么>0的区域是1而不是-1呢,后续会解释。。。)
的区域是y=-1类别的点
推论(由二维推到高维度)
转换成矩阵的形式为: (其中W是一个列向量,即(w1,w2,……,wp)T)
五、如何找线性分类器
最好分类器的定义:最大边界超平面,即距两个类别的边界观测点最远的超平面。


图中1、2、3为支持向量(即边界观测点),中间的虚线为我们想要找到的超平面;
左右两图哪一个超平面更好呢?为此我们引入一个评判指标,叫做”分类间隔“;
通俗来说,找一个超平面,使得离该超平面最近的点可以最远(这样子可以使容错功能越强);
六、求解最优超平面
(1)分类间隔
a.函数间隔
这里来解释为什么为什么将 的区域的标签定义为1,
而将的区域的标签定义为-1(第i个样本标签用yi表示)
上述定义的内容用公式表示即为 :
y=1
y=-1
我们可以把上述两个式子合并为:
(该值永远大于0,正好符合了距离的概念)
我们把样本点(Xi,yi)的函数间隔定义为:
(假设y=1时,原来的超平面是f(x)=0,若y=1,f(x)=1,相当于向右平移了一个单位,所以f(x)值越大的点到分类超平面的距离当然越远)
我们选取超平面与训练集中样本的函数间隔最小值,记为![]()
我们只需要最大化
即可(但存在一个问题,如果w和b变为2w和2b,此时超平面没有改变,但是函数间隔却变大了)
(注意到函数间隔实际上并不能表示点到超平面的距离,所以定义点到超平面的距离时,我们采用下面的几何间隔)
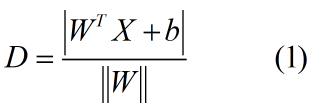
b.几何间隔
由点到直线距离公式可知,样本点Xi到超平面
的距离为:

其中,||W||表示向量的2-范数,我们把这个D叫做几何间隔,也就是最终我们要求支持向量到超平面的几何间隔最大值
(2)凸二次规划

我们把中间的超平面用
来表示
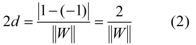
把L1定义为:
,把L2定义为![]()
(为什么方程是1和-1,其实也可以是任意非零常数C和-C,规定1和-1是为了方便)
于是可得:

我们需要最大化d:

(3)式可以等价为:

我们通常会把(4)式转换为:

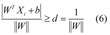
除了距离以外,我们还有限制条件,超平面正确分类意味着点i到超平面的距离恒大于等于d:

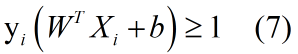
我们可以把式(6)化简为:

目标函数:

约束条件:

这种规划问题叫做凸二次规划。
(3)拉格朗日乘数法
那么如何求解这种不等式条件约束下的求多元函数极值的问题呢?
我们采用拉格朗日乘数法,通过引入新的未知标量(拉格朗日乘数 ),直接求多元函数条件极值
我们将目标函数和约束条件整合为:

其中![]()
引入了拉格朗日乘子,我们的优化目标变为:

如何化简式(9)呢,我们引入一个对偶的概念
(4)对偶问题
我们把(9)式通过对偶转化为(10)式:

通过上式我们可以先求优化函数对于W和b的极小值,接着再求拉格朗日乘子λ的极大值
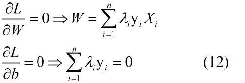
首先求定义:

接下来求偏导得到:

我们将(12)式代入到(11)式可得:


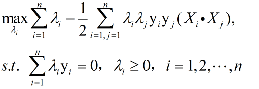
于是我们将整体目标函数化简为:

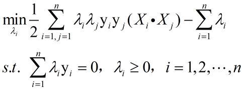
将上述问题等价为极小化问题如下:

只要我们可以求出极小化时对应的λ向量就可以求出W和b了,那么怎么极小化上式得到对应的λ呢,一般要用到SMO算法。
浙公网安备 33010602011771号