示例一:梯度下降求解逻辑回归
一、The data
我们将建立一个逻辑回归模型来预测一个学生是否被大学录取。假设你是一个大学系的管理员,你想根据两次考试的结果来决定每个申请人的录取机会。你有以前的申请人的历史数据,你可以用它作为逻辑回归的训练集。对于每一个培训例子,你有两个考试的申请人的分数和录取决定。为了做到这一点,我们将建立一个分类模型,根据考试成绩估计入学概率。
#三大件 import numpy as np import pandas as pd import matplotlib.pyplot as plt
import os path = 'data' + os.sep + 'LogiReg_data.txt' pdData = pd.read_csv(path, header=None, names=['Exam 1', 'Exam 2', 'Admitted']) pdData.head()
| Exam 1 | Exam 2 | Admitted | |
|---|---|---|---|
| 0 | 34.623660 | 78.024693 | 0 |
| 1 | 30.286711 | 43.894998 | 0 |
| 2 | 35.847409 | 72.902198 | 0 |
| 3 | 60.182599 | 86.308552 | 1 |
| 4 | 79.032736 | 75.344376 | 1 |
pdData.shape #(100, 3)
展示图形:
positive = pdData[pdData['Admitted'] == 1] # 被录取的学生的数据 negative = pdData[pdData['Admitted'] == 0] # 未被录取的学生的数据 fig, ax = plt.subplots(figsize=(10,5)) #定义一个画图区域 # 2个散点图:ax.scatter(x轴数据,y轴数据, s=颜色饱和度,c=颜色,maker=散点的标记图形,label=label导航标题) ax.scatter(positive['Exam 1'], positive['Exam 2'], s=30, c='b', marker='o', label='Admitted') ax.scatter(negative['Exam 1'], negative['Exam 2'], s=30, c='r', marker='x', label='Not Admitted') ax.legend() ax.set_xlabel('Exam 1 Score') #设置x轴的标题 ax.set_ylabel('Exam 2 Score')

取得以上两个散点图的分界线
二、The logistic regression:逻辑回归
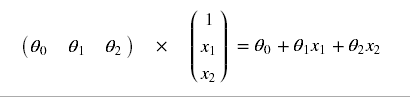
目标:建立分类器(求解出三个参数 θ0θ1θ2),θ0偏置项θ1第一次测试的成绩θ2第二次测试的成绩
设定阈值,根据阈值判断录取结果
要完成的模块
-
sigmoid: 映射到概率的函数 -
model: 返回预测结果值 -
cost: 根据参数计算损失 -
gradient: 计算每个参数的梯度方向 -
descent: 进行参数更新
accuracy: 计算精度
三、实现逻辑回归的各模块
1.sigmoid函数:
def sigmoid(z): return 1 / (1 + np.exp(-z))
测试sigmoid函数:
nums = np.arange(-10, 10, step=1) # -10到10之间,步长为1的数字列表 fig, ax = plt.subplots(figsize=(12,4)) ax.plot(nums, sigmoid(nums), 'r')


2.预测函数
# 预测函数h;np.dot(X, theta.T)两个矩阵相乘,如图所示 def model(X, theta): return sigmoid(np.dot(X, theta.T))

查看数据:
pdData.insert(0, 'Ones', 1) # in a try / except structure so as not to return an error if the block si executed several times # set X (training data) and y (target variable) orig_data = pdData.as_matrix() # convert the Pandas representation of the data to an array useful for further computations cols = orig_data.shape[1] X = orig_data[:,0:cols-1] y = orig_data[:,cols-1:cols] # convert to numpy arrays and initalize the parameter array theta #X = np.matrix(X.values) #y = np.matrix(data.iloc[:,3:4].values) #np.array(y.values) # 构造theta矩阵结构 theta = np.zeros([1, 3])
X[:5] Out[10]: array([[ 1. , 34.62365962, 78.02469282], [ 1. , 30.28671077, 43.89499752], [ 1. , 35.84740877, 72.90219803], [ 1. , 60.18259939, 86.3085521 ], [ 1. , 79.03273605, 75.34437644]])
y[:5] Out[11]: array([[ 0.], [ 0.], [ 0.], [ 1.], [ 1.]])
theta # array([[ 0., 0., 0.]])
X.shape, y.shape, theta.shape # ((100, 3), (100, 1), (1, 3))
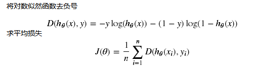
3.损失函数

# 损失函数 def cost(X, y, theta): left = np.multiply(-y, np.log(model(X, theta))) right = np.multiply(1 - y, np.log(1 - model(X, theta))) return np.sum(left - right) / (len(X)) # 求平均损失
cost(X, y, theta) # 0.6931471805599453
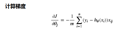
4.计算梯度

# 计算梯度,求偏导 def gradient(X, y, theta): grad = np.zeros(theta.shape) error = (model(X, theta)- y).ravel() for j in range(len(theta.ravel())): #for each parmeter term = np.multiply(error, X[:,j]) grad[0, j] = np.sum(term) / len(X) return grad
5.Gradient descent
比较3中不同梯度下降方法:批量梯度下降、随机梯度下降、小批量梯度下降
STOP_ITER = 0 #根据迭代次数停止迭代 STOP_COST = 1 #根据损失值停止迭代 STOP_GRAD = 2 #根据梯度变化停止迭代 def stopCriterion(type, value, threshold): #设定三种不同的停止策略 if type == STOP_ITER: return value > threshold elif type == STOP_COST: return abs(value[-1]-value[-2]) < threshold elif type == STOP_GRAD: return np.linalg.norm(value) < threshold
import numpy.random #对数据进行洗牌,打乱原有数据的规律 def shuffleData(data): np.random.shuffle(data) cols = data.shape[1] X = data[:, 0:cols-1] y = data[:, cols-1:] return X, y
import time # stopType停止策略;thresh预值;alpha学习率 def descent(data, theta, batchSize, stopType, thresh, alpha): #梯度下降求解 init_time = time.time() i = 0 # 迭代次数 k = 0 # batch X, y = shuffleData(data) grad = np.zeros(theta.shape) # 计算的梯度 costs = [cost(X, y, theta)] # 损失值 while True: grad = gradient(X[k:k+batchSize], y[k:k+batchSize], theta) k += batchSize #取batch数量个数据 if k >= n: k = 0 X, y = shuffleData(data) #重新洗牌 theta = theta - alpha*grad # 参数更新 costs.append(cost(X, y, theta)) # 计算新的损失 i += 1 if stopType == STOP_ITER: value = i elif stopType == STOP_COST: value = costs elif stopType == STOP_GRAD: value = grad if stopCriterion(stopType, value, thresh): break return theta, i-1, costs, grad, time.time() - init_time
def runExpe(data, theta, batchSize, stopType, thresh, alpha): #import pdb; pdb.set_trace(); theta, iter, costs, grad, dur = descent(data, theta, batchSize, stopType, thresh, alpha) name = "Original" if (data[:,1]>2).sum() > 1 else "Scaled" name += " data - learning rate: {} - ".format(alpha) if batchSize==n: strDescType = "Gradient" elif batchSize==1: strDescType = "Stochastic" else: strDescType = "Mini-batch ({})".format(batchSize) name += strDescType + " descent - Stop: " if stopType == STOP_ITER: strStop = "{} iterations".format(thresh) elif stopType == STOP_COST: strStop = "costs change < {}".format(thresh) else: strStop = "gradient norm < {}".format(thresh) name += strStop print ("***{}\nTheta: {} - Iter: {} - Last cost: {:03.2f} - Duration: {:03.2f}s".format( name, theta, iter, costs[-1], dur)) fig, ax = plt.subplots(figsize=(12,4)) ax.plot(np.arange(len(costs)), costs, 'r') ax.set_xlabel('Iterations') ax.set_ylabel('Cost') ax.set_title(name.upper() + ' - Error vs. Iteration') return theta
6.不同的停止策略
1).设定迭代次数
#选择的梯度下降方法是基于所有样本的 n=100 runExpe(orig_data, theta, n, STOP_ITER, thresh=5000, alpha=0.000001)

2).根据损失值停止
设定阈值 1E-6, 差不多需要110 000次迭代
runExpe(orig_data, theta, n, STOP_COST, thresh=0.000001, alpha=0.001)

3).根据梯度变化停止
设定阈值 0.05,差不多需要40 000次迭代
runExpe(orig_data, theta, n, STOP_GRAD, thresh=0.05, alpha=0.001)

7.对比不同的梯度下降方法
runExpe(orig_data, theta, 1, STOP_ITER, thresh=5000, alpha=0.001)

2).以上的结果:有点爆炸。。。很不稳定,再来试试把学习率调小一些
runExpe(orig_data, theta, 1, STOP_ITER, thresh=15000, alpha=0.000002)

速度快,但稳定性差,需要很小的学习率
3).Mini-batch descent
runExpe(orig_data, theta, 16, STOP_ITER, thresh=15000, alpha=0.001)

4).使用skleaning,进行数据预处理
from sklearn import preprocessing as pp scaled_data = orig_data.copy() scaled_data[:, 1:3] = pp.scale(orig_data[:, 1:3]) runExpe(scaled_data, theta, n, STOP_ITER, thresh=5000, alpha=0.001)

5).
runExpe(scaled_data, theta, n, STOP_GRAD, thresh=0.02, alpha=0.001)

6).
theta = runExpe(scaled_data, theta, 1, STOP_GRAD, thresh=0.002/5, alpha=0.001)

7).
runExpe(scaled_data, theta, 16, STOP_GRAD, thresh=0.002*2, alpha=0.001)

8.得到精度
#设定阈值 def predict(X, theta): return [1 if x >= 0.5 else 0 for x in model(X, theta)]
scaled_X = scaled_data[:, :3] y = scaled_data[:, 3] predictions = predict(scaled_X, theta) correct = [1 if ((a == 1 and b == 1) or (a == 0 and b == 0)) else 0 for (a, b) in zip(predictions, y)] accuracy = (sum(map(int, correct)) % len(correct)) print ('accuracy = {0}%'.format(accuracy))
accuracy = 89%
posted on 2018-10-02 17:25 myworldworld 阅读(2399) 评论(0) 收藏 举报
浙公网安备 33010602011771号