算法二:逻辑回归
逻辑回归:不是回归算法,是分类算法,是经典的二分类算法。
逻辑回归的决策边界:可以是非线性的。
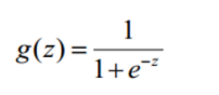
Sigmoid 函数,公式:

自变量取值为任意实数,值域[0,1]
解释:将任意的输入映射到了[0,1]区间 我们在线性回归中可以得到一个预测值,再将该值映射到Sigmoid 函数 中这样就完成了由值到概率的转换,也就是分类任务



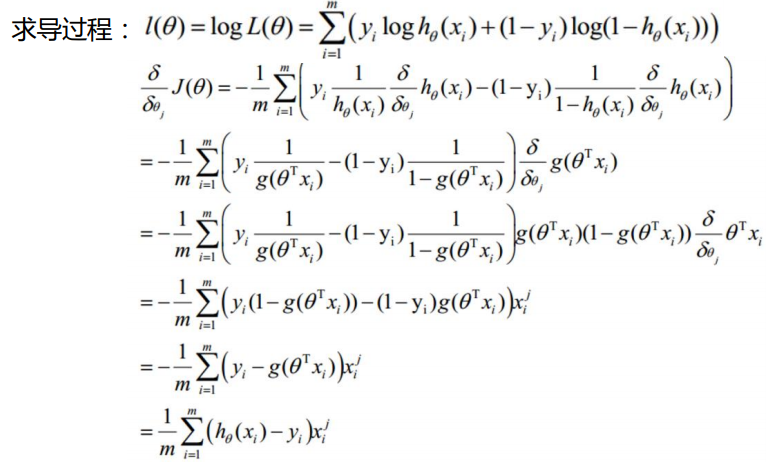
J,循环每个样本θ


posted on 2018-10-02 16:51 myworldworld 阅读(102) 评论(0) 收藏 举报
逻辑回归:不是回归算法,是分类算法,是经典的二分类算法。
逻辑回归的决策边界:可以是非线性的。
Sigmoid 函数,公式:

自变量取值为任意实数,值域[0,1]
解释:将任意的输入映射到了[0,1]区间 我们在线性回归中可以得到一个预测值,再将该值映射到Sigmoid 函数 中这样就完成了由值到概率的转换,也就是分类任务



J,循环每个样本θ


posted on 2018-10-02 16:51 myworldworld 阅读(102) 评论(0) 收藏 举报