线性代数八.3:向量组的秩与极大无关组、向量空间

一、极大无关组的概念




![]()
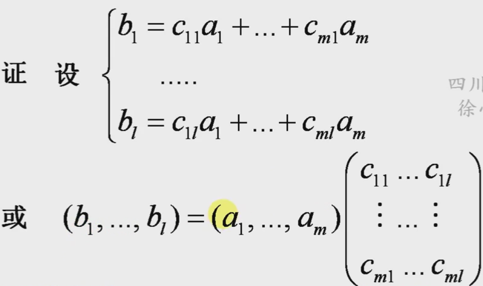
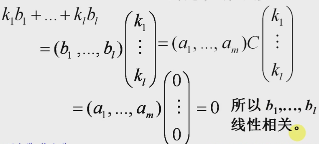
二、极大无关组相关的定理、推论










三、向量组的秩


![]()



同理D的列向量组也线性无关










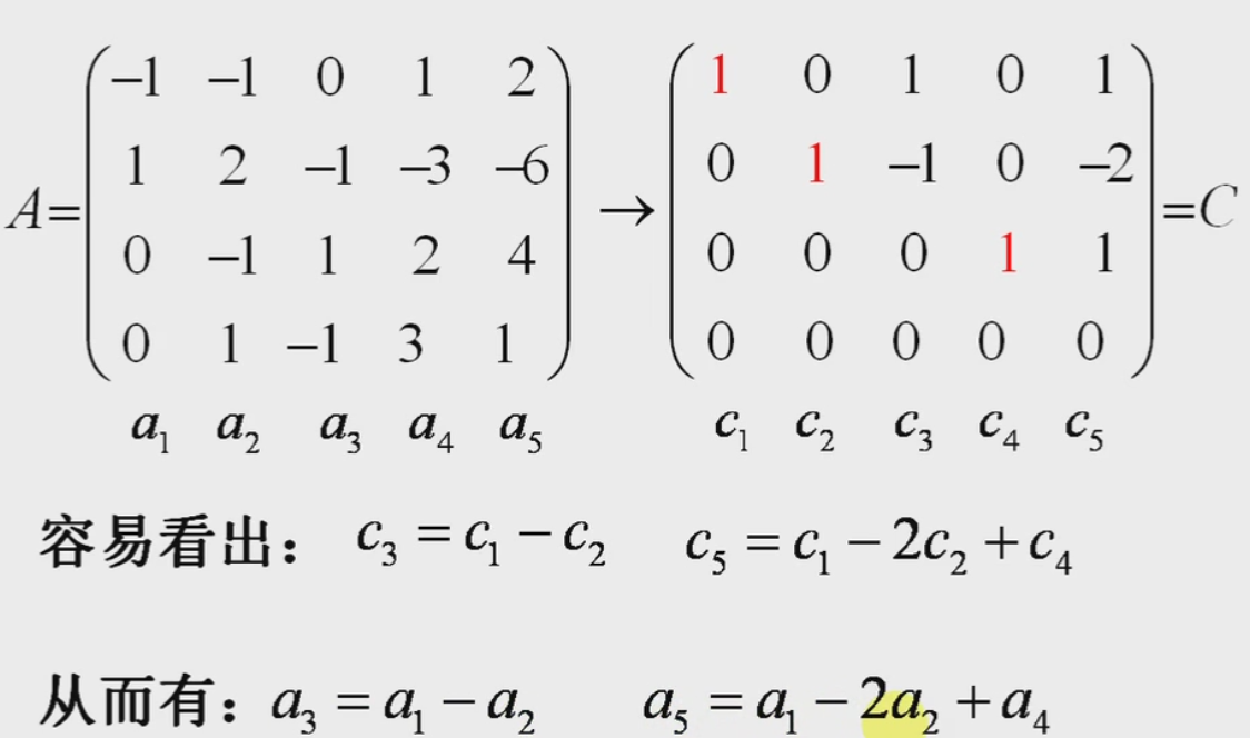
四、向量组的秩与极大无关组的示例
























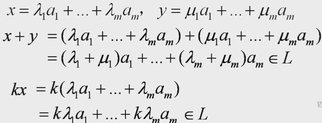
五、向量空间











六、向量空间的基与维数






向量空间第一节后半部分及它的其它章节(向量的内积、长度、夹角;向量组的正交化),正交距阵.............略...............
posted on 2019-02-03 15:18 myworldworld 阅读(1301) 评论(0) 收藏 举报
浙公网安备 33010602011771号