高等数学十四:矩阵的行列式、可逆矩阵
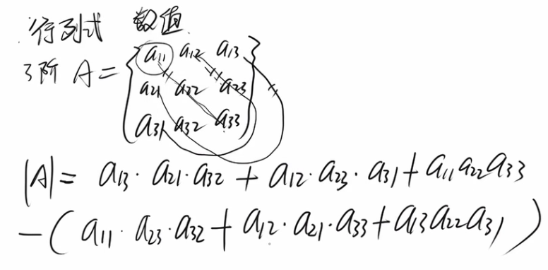
一、行列式的概念
行列式:是一个数值




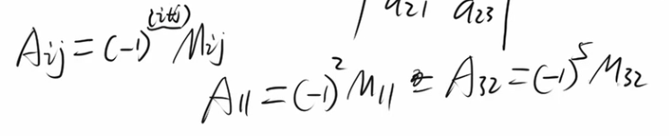
二、使用代数余式计算行列式
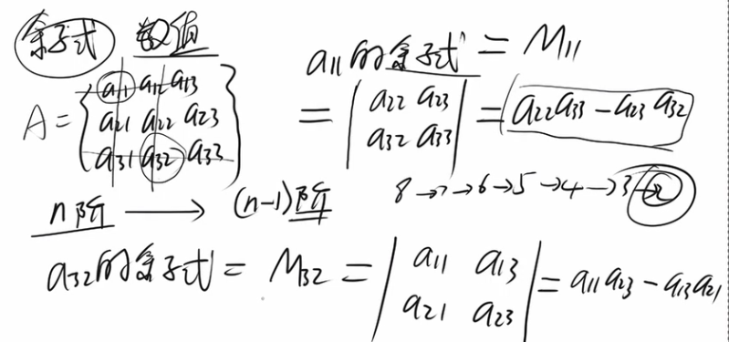
余子式、代数余子式:也是一个数值

余子式:
代数余子式:

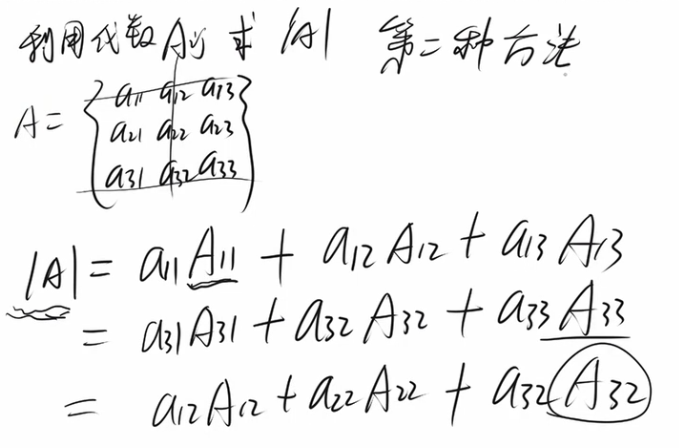
利用代数余子式,求行列式:可以选择任意一行或列来计算其代数余子式*其项 之和,如第一行、第三行、第二列
这是求行列式的第二种方法。

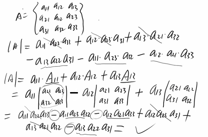
证明:使用行列式定义计算到的行列式,和使用代数余子计算到的行列式的结果是相等的。


三、伴随矩阵、逆矩阵







posted on 2019-01-19 11:30 myworldworld 阅读(3000) 评论(0) 收藏 举报
浙公网安备 33010602011771号