高中数学二:直线、圆、数列、不等式、排列组合
一、点、直线、圆
平面中,两点间的距离公式:
三维空间座标两点间距离公式:
记A(x1,y1,z1),B(x2,y2,z2),则A,B之间的距离为 :
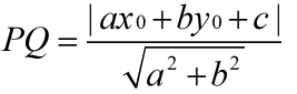
点为(x0, y0),直线为ax + by + c =0,

根据直角三角形中,直角到斜边的垂直距离的公式,推导出点到直线的距离为:
圆的方程式:

二、数列与不等式
等差数列{an}:数列中每一项的下一项,与它的差值相等。
等差数列的第n项的通项公式:an = a1 + (n-1)d
如果已知的是am,而a1未知,那么它的第n项的能项公式为:an = am + (n - m)d
等差数列的前n项之和:Sn = na1 + d(1+2+3+....+ n-1) = na1 + dn(n-1)/2 = (a1 + an)n/2
等差数列的性质:...
等比数列:数列中每一项的下一项,与它的比值q相等。
等比数列的第n项的通项公式:an = a1 * qn-1
等比数列的前n项之和:Sn = a1(1-qn)/(1-q)
等比数列的性质:....


三、排列、组合
计数原理:


排列是有顺序的,组合是无序的。
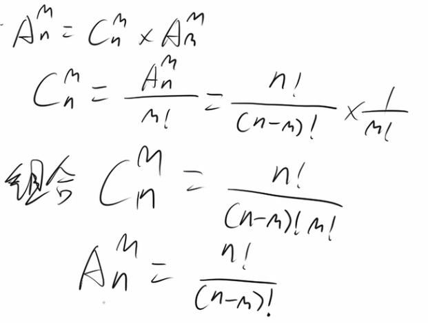
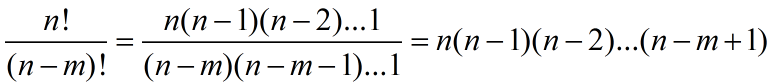
排列数:
=![]()
排列数:
=![]()
组合数:

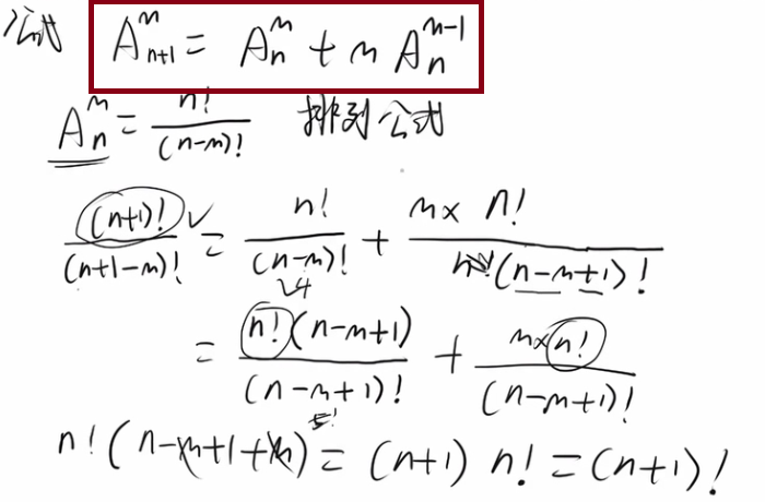
排列数、组合数的扩展公式:

使用python计算排列数、组合数:
import itertools x=list(range(1,8)) print(x) a1=itertools.permutations(x, 3) print(len(list(a1))) a2=itertools.combinations(x, 3) print(len(list(a2))) #[1, 2, 3, 4, 5, 6, 7] #210 #35
posted on 2018-12-28 11:10 myworldworld 阅读(721) 评论(0) 收藏 举报
浙公网安备 33010602011771号