数字图像处理(三)
图像增强
概念
- 按特定的需要突出图像中的某些信息
- 削弱或去除某些不需要的信息
- 改善图像质量
空域图像增强
直接对图像像素处理 即灰度映射变化

灰度级变换
逐像素点对图像进行增强的灰度变换方法即 g(x,y)=T[f(x,y)]
对比度:亮度最大值与最小值之比
线性灰度变换

分段线性灰度变换


非线性灰度变换
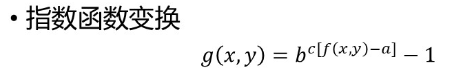
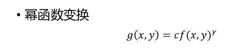
多种函数变换,对数函数变换、指数函数变换、幂函数变换等

c:比例常数;当b>1时,曲线上凸,b<1时,曲线下凹

a,控制参数,表示曲线的左右偏移量;b,c控制参数,表示曲线的弯曲程度


imadjust matlab实现;gamma,相应的函数
直方图增强
直方图:图像中个像素灰度值出现次数(或频数)的统计结果
他只反映该图像中不同灰度值出现的次数,不反映位置
直方图均衡化
即改变图像像素灰度值
像素个数多的灰度级进行扩宽
像素个数少的灰度值进行缩减
直方图规定化
将直方图按照想要的形状表示
matlab:显示数字直方图 imhist(i,n)/imhist(X,map)
直方图均衡化 histeq(i,hgram)当hgram为我们制定的函数就变成规定化
空域滤波
空域锐化
空域滤波:借助模板对图像进行领域操作的处理方法,所使用的模板叫做空域滤波器
线性滤波器--->平滑
非线性滤波器--->锐化

平滑滤波器
领域平均法,直接在空域上进行平滑处理,用领域内个像素的灰度平均值代替该像素原来的灰度值

运算形式:

采用卷积运算,对图像进行处理
由实验可以得到:采用的模板尺寸越大处理后的图像越模糊。
中值滤波:模板区域内的像素排序、求出中值。是非线性平滑滤波器,用于消除噪声、保持图像细节。
空域锐化
增强图像边缘:提取边缘,图像分割、目标识别等
平滑使用积分运算而锐化使用微分运算。

频率域图像增强
通过傅里叶变换、卷积等方法对图像进行处理
主要是低通滤波和高通滤波。
术语
频率域图像,即空域像素灰度值变成空间频率,采用频谱表示图像信息分布
频率域图像处理,先将空域通过傅里叶变换转换到频域处理完毕后反变换成空域

低通滤波器有两种:理想低通滤波器和巴特沃斯低通滤波器


因为在范围内设为1,在范围外设为0.则出现了陡变的情况。这个陡变使得处理后的图像出现振铃现象。且半径越小其振铃现象越发明显。

巴特沃斯低通滤波器虽然能削弱振铃现象但是仍会出现。且随n的增大而明显。
高通滤波
与低通滤波类似有理想高通滤波器和巴特沃斯高通滤波器

理想高通滤波器与理想低通滤波器刚好相反

其他
- 带通滤波 允许某个频率范围内信号通过
- 带阻滤波 阻止某个频率范围内信号通过
- 同态滤波 同时将图像亮度范围压缩和将图像对比度增强
图像复原
图像退化:图像质量下降的过程,图像模糊、失真、噪声等。
图像复原:退化模型->逆退化->判定恢复
图像模糊有多种可能:运动模糊、离焦模糊、噪声干扰等

图像恢复与图像增强
相同点:改进输入图像的视觉质量
不同点:
- 图像增强-目的是取得较好的视觉结果
- 图像恢复-根据相应的退化模型和知识重建或恢复原始图像

图像的退化过程可以理解为施加于原图像上的运算和噪声两者联合作用的结果。

H的基本定义
- 系统是某些元件或部件以某种方式构造而成的整体
- 系统本身所具有的某些特性构成了通过系统的输入信号与输出信号的某种联系
- 在数学上,看作某种变换、或叫做算子,用H表示。
H的性质
- 齐次性,数乘运算
- 叠加性,分开
- 线性分别
- 位置(空间)不变性(坐标)
- 线性空间不变系统(线性移不变系统)
在对图像进行逆变换的过程中会出现图像恢复的变态性

只有当T-1存在,唯一,无病态问题。并且还有以下问题

解决上述问题的方法是避开H(u,v)的零点及小数值的点

有约束恢复
维纳滤波法(最小均方差滤波法)
前提:图像和噪声都是随机过程,图像和噪声不相关
基本思想:找到原图f(x,y)的一个估计值,使得估计值与原图像之间的均方误差在统计意义上最小
特点:对噪声有自动抑制作用
**Matlab实现
产生退化图像
创建点扩散函数 fspecial
图像滤波:imfilter filter2

浙公网安备 33010602011771号