洛谷题单指南-组合数学与计数-CF961G Partitions
原题链接:https://www.luogu.com.cn/problem/CF961G
题意解读:将1~n划分到k个非空子集,每个子集的权值是子集大小*子集内元素之和,一个划分的权值是所有子集权值之和,求所有可能的划分的权值之和。
解题思路:
观察一下样例,可以知道,答案是
也就是,每个权值的系数相同,x怎么求?可以通过枚举不同大小的子集数来实现。
对于某个数在大小为i的子集中的情况一共有多少种?
先固定一个数,再从剩下的n-1个数选i-1个数组成一个子集,剩下的n-i个数要分成k-1个无标号非空子集,即第二类斯特林数S(n-i,k-1),
因此,一共有
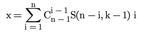
种,某个数对于x的贡献还要乘以子集大小,因此一共是
种;
枚举i从1到n累加得到:

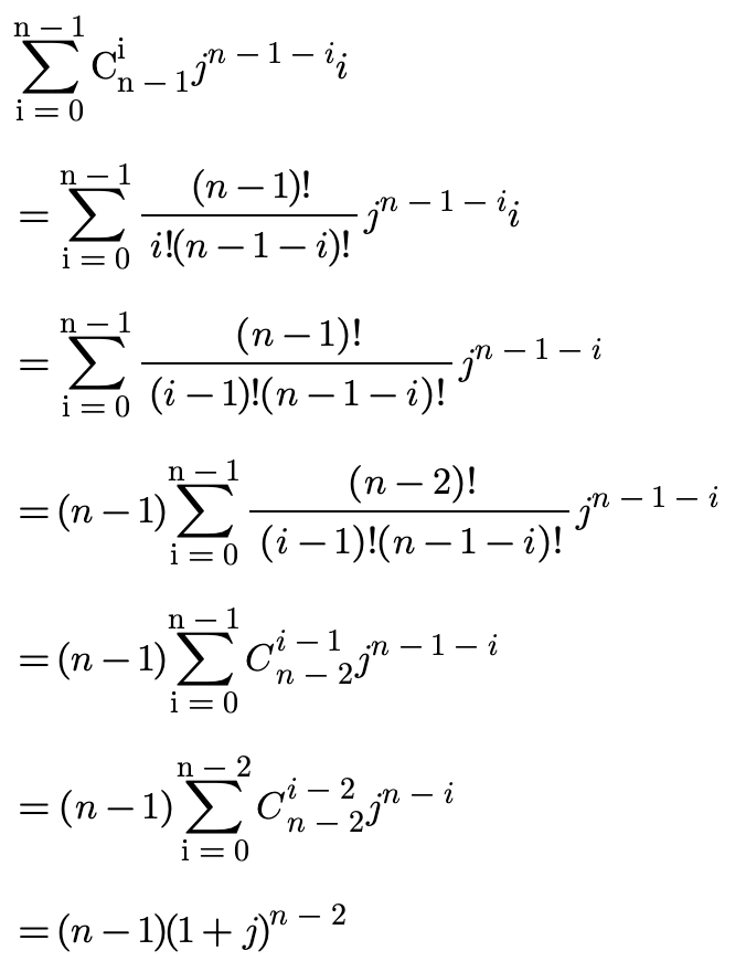
经过一番公式变换,得到:

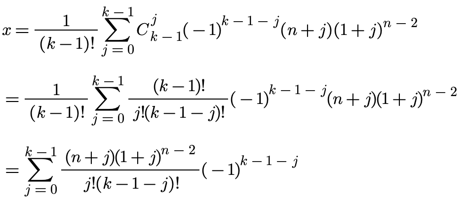
继续推:

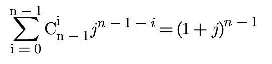
而

由于

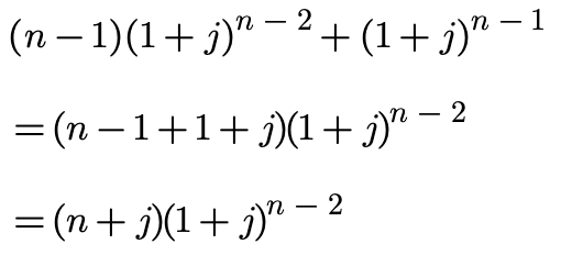
因此,最终得到x为

进一步简化:

预处理阶乘的逆元,结合快速幂就可以求解了。
对于n=1要特殊处理。
100分代码:
#include <bits/stdc++.h>
using namespace std;
typedef long long LL;
const int N = 200005, MOD = 1e9 + 7;
LL infac[N]; //阶乘的逆元
LL sum;
LL n, k, ans;
LL ksm(LL a, LL b, LL mod)
{
LL res = 1;
while(b)
{
if(b & 1) res = res * a % mod;
a = a * a % mod;
b >>= 1;
}
return res;
}
int main()
{
cin >> n >> k;
for(int i = 1; i <= n; i++)
{
int w;
cin >> w;
sum = (sum + w) % MOD;
}
if(n == 1)
{
cout << sum;
return 0;
}
//预处理阶乘的逆元
infac[0] = 1;
for(int i = 1; i <= k; i++)
{
infac[i] = infac[i - 1] * ksm(i, MOD - 2, MOD) % MOD;
}
for(int j = 0; j <= k - 1; j++)
{
LL v = (n + j) * ksm(1 + j, n - 2, MOD) % MOD;
v = v * infac[j] % MOD * infac[k - 1 - j] % MOD;
if(k - 1 - j & 1) ans = ((ans - v) % MOD + MOD) % MOD;
else ans = (ans + v) % MOD;
}
cout << ans * sum % MOD;
return 0;
}
浙公网安备 33010602011771号