洛谷题单指南-组合数学与计数-P3228 [HNOI2013] 数列
原题链接:https://www.luogu.com.cn/problem/P3228
题意解读:K天连续上涨的股票,最高不超过N元,每天涨幅最多M元,求K天的价格组合一共有多少种可能。
解题思路:
每天涨幅为1~M,不妨设di表示第i+1天和第i天的估价之差
对于一组可能的差值d1~dk-1,只要确定第一天的股价,就可以得到一组价格
而第一天的股价必然满足
,也就是确定一组差值,可以有
组可能的价格
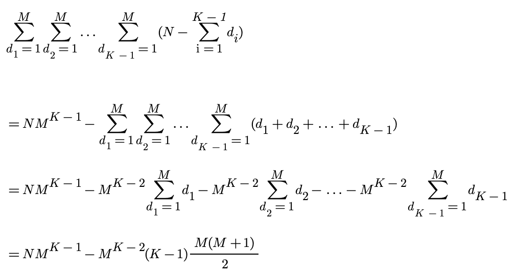
那么,通过枚举每一种di即可得到答案:

快速幂即可求解。
100分代码:
#include <bits/stdc++.h>
using namespace std;
typedef long long LL;
LL n, k, m, p, ans;
LL ksm(LL a, LL b, LL mod)
{
LL res = 1;
while(b)
{
if(b & 1) res = res * a % mod;
a = a * a % mod;
b >>= 1;
}
return res;
}
int main()
{
cin >> n >> k >> m >> p;
//注意n一开始就要%p,防止后续乘法溢出
ans = n % p * ksm(m, k - 1, p) % p - ksm(m, k - 2, p) * (k - 1) % p * (m * (m + 1) / 2 % p) % p;
ans = (ans % p + p) % p;
cout << ans;
return 0;
}
浙公网安备 33010602011771号