洛谷题单指南-组合数学与计数-P2532 [AHOI2012] 树屋阶梯
原题链接:https://www.luogu.com.cn/problem/P2532
题意解读:平面上,一个n级阶梯由n个任意矩形拼成,求所有方案。
解题思路:
考虑一个5级阶梯:

设要求的结果是f[n],表示n级阶梯由n个矩形拼成的方案数。
一共有5个矩形,顶点1~5必然属于5个不同的矩形,因为显然任意两个不可能在同一个矩形中
再看顶点0,必然属于某一个矩形,也就是必然和1~5属于同一个矩形,那么可以枚举
1、0和1属于同一个矩形:

方案数为:f(0)*f(4)
2、0和2属于同一个矩形:

方案数为:f(1)*f(3)
3、0和3属于同一个矩形:

方案数为:f(2)*f(2)
4、0和4属于同一个矩形:

方案数为:f(3)*f(1)
5、0和5属于同一个矩形:

方案数为:f(4)*f(0)
因此总方案数为:f(5) = f(0)*f(4) + f(1)*f(3) + f(2)*f(2) + f(3)*f(1) + f(4)*f(0)
推而广之:f(n) = ∑f(i)*f(n-1-i)
这不就是卡特兰数!
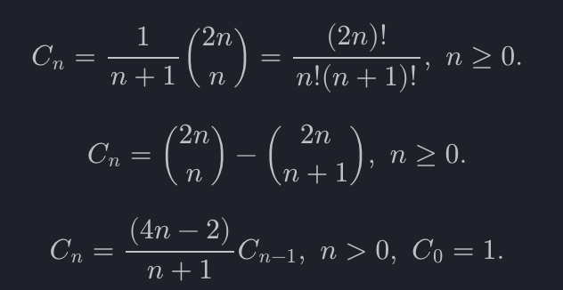
除了递推式,卡特兰数的常见表达式如下:

此题未做求模处理,数据很大,需要高精度,第一个式子更便于处理,可以通过对阶乘的素因子进行分解,统计所有素因子的指数。
素因子范围通过筛出2n以内所有素数即可。
小技巧:要计算n!中有多少个因子p,只需要计算n/p+n/p2+n/p3+...
最终,只需要实现高精度乘法即可。
100分代码:
#include <bits/stdc++.h>
using namespace std;
typedef long long LL;
const int N = 505;
int n;
int primes[2 * N], cnt;
bool vis[2 * N];
//高精度*低精度
vector<int> mul(vector<int> &a, int b)
{
vector<int> res;
int t = 0;
for(int i = 0; i < a.size(); i++)
{
t += a[i] * b;
res.push_back(t % 10);
t /= 10;
}
while(t)
{
res.push_back(t % 10);
t /= 10;
}
return res;
}
//筛素数
void get_primes()
{
for(int i = 2; i <= 2 * n; i++)
{
if(!vis[i])
{
primes[++cnt] = i;
for(int j = i + i; j <= 2 * n; j += i)
vis[j] = true;
}
}
}
//计算x!中素数p的幂次
int get_p(int x, int p)
{
int res = 0;
while(x)
{
res += x / p;
x /= p;
}
return res;
}
int main()
{
cin >> n;
get_primes(); // 2n以内的素数
vector<int> ans(1, 1); // 初始值1
for(int i = 1; i <= cnt; i++)
{
int p = primes[i];
int k = get_p(2 * n, p) - get_p(n, p) - get_p(n + 1, p); // 计算p在(2n)!/((n+1)!*n!)中的幂次
for(int j = 1; j <= k; j++)
ans = mul(ans, p); // ans *= p^k
}
for(int i = ans.size() - 1; i >= 0; i--)
cout << ans[i];
return 0;
}
浙公网安备 33010602011771号