洛谷题单指南-组合数学与计数-P5505 [JSOI2011] 分特产
原题链接:https://www.luogu.com.cn/problem/P5505
题意解读:有n种颜色的球,每种颜色有a[i]个相同的球,分成m组,每组至少有一个球的方案数。注意n和m与题目中描述相反。
解题思路:
直接计数比较困难,通过补集的角度来考虑。
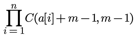
1、先不考虑每组至少有一个球,所有方案
对于n中颜色的球,一个一个颜色来考虑,对于某个颜色i的a[i]个球,要任意分成m组,借助于插空法的变形,
先借m个球一共a[i]+m个球,在a[i]+m-1个空插m-1板即可,一共是C(a[i]+m-1,m-1)种。
那么对于所有颜色,根据乘法原理,一共有
![]()
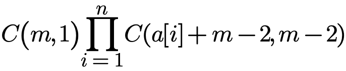
2、再考虑有1组为空的方案数,应该减掉
仍然一个一个颜色来考虑,先把空的一组选出来C(m,1),再插板,一共是C(m,1)(C(a[i]+m-2,m-2)种。
对于所有颜色,一共有
![]()
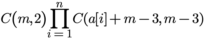
3、再考虑有2组为空的方案数,应该加上
一共有
![]()
4、以此类推,一直到m-1组为空的情况。
最终,答案是

这,又是容斥原理!
进一步转化为:
![]()
组合数可以预计算,整体复杂度为O(nm)。
100分代码:
#include <bits/stdc++.h>
using namespace std;
typedef long long LL;
const int N = 2005, MOD = 1e9 + 7;
int a[N], c[N][N];
int m, n, ans;
int main()
{
cin >> m >> n;
for(int i = 1; i <= n; i++) cin >> a[i];
//组合数初始化
for(int i = 0; i <= 2000; i++)
{
for(int j = 0; j <= i; j++)
{
if(j == 0) c[i][j] = 1;
else c[i][j] = (c[i - 1][j - 1] + c[i - 1][j]) % MOD;
}
}
for(int j = 0; j <= m - 1; j++)
{
int tmp = c[m][j];
for(int i = 1; i <= n; i++)
{
tmp = 1ll * tmp * c[a[i] + m - j - 1][m - j - 1] % MOD;
}
if(j % 2 == 0) ans = (ans + tmp) % MOD;
else ans = (ans - tmp + MOD) % MOD;
}
cout << ans;
return 0;
}
浙公网安备 33010602011771号