洛谷题单指南-进阶数论-P2261 [CQOI2007] 余数求和
原题链接:https://www.luogu.com.cn/problem/P2261
题意解读:对于i从1到n,求k % i之和。
解题思路:
1、整除分块
整除分块(也叫数论分块)是数论中用于快速计算形如
或其变形的核心技巧,核心思想是 “将函数值相同的连续区间打包计算”,把原本 O(n)复杂度的遍历优化到 O(sqrt(n)),大幅提升计算效率。
要理解整除分块,首先需明确一个关键性质:对正整数 n 和 i,函数
的取值只有 O(2*sqrt(n)) 种不同结果。
证明:

其次,n/i的值随着i的增大而变小,且相同的值在连续的一个区间中,所以形成分块。
那么,问题就变成要找到一个个不同值的分块[l,r]使得n/l = n/r
对于一个l,如何找r?
当n/l != 0时,r = n / (n / l)
证明:设n/l=k,k<=n/l<k+1,n/(k+1)<l<=n/k,l最大是n/k,因此r=n/(n/l)
当n/l == 0时,r = n
代码实现:
int res = 0;
for(int l = 1, r; l <= n; l = r + 1)
{
int k = n / l;
r = n / k;
res += k * (r - l + 1);
}
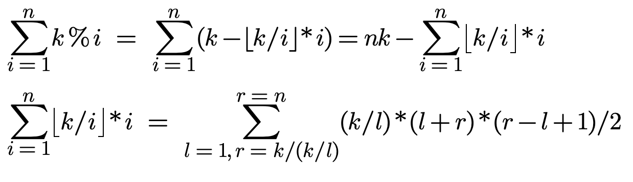
扩展:

2、问题分析

100分代码:
#include <bits/stdc++.h>
using namespace std;
typedef long long LL;
LL n, k;
int main()
{
cin >> n >> k;
LL ans = n * k, sum = 0;
for(LL l = 1, r; l <= n; l = r + 1)
{
if(k / l == 0) break; //避免除0
r = k / (k / l);
if(r > n) r = n; //限制r不超过n
sum += (k / l) * ((l + r) * (r - l + 1) / 2);
}
ans -= sum;
cout << ans;
return 0;
}
浙公网安备 33010602011771号