• 博客园logo
  • 会员
  • 众包
  • 新闻
  • 博问
  • 闪存
  • 赞助商
  • HarmonyOS
  • Chat2DB
    • 搜索
      所有博客
    • 搜索
      当前博客
  • 写随笔 我的博客 短消息 简洁模式
    用户头像
    我的博客 我的园子 账号设置 会员中心 简洁模式 ... 退出登录
    注册 登录
MKT-porter
博客园    首页    新随笔    联系   管理    订阅  订阅
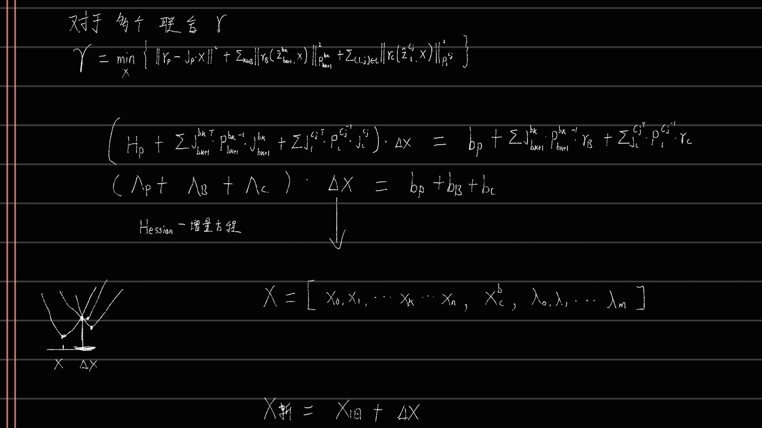
vins-mono 预积分

 

https://blog.csdn.net/qq_39266065/article/details/115348824

误差的传递由两部分组成:

1.当前时刻的误差传递给下一时刻,

2.当前时刻测量噪声传递给下一时刻。

状态量误差

 测量噪声

假设已知了相邻时刻误差的线性传递方程:

 

协方差矩阵可以通过递推

 

 

 

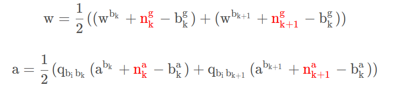
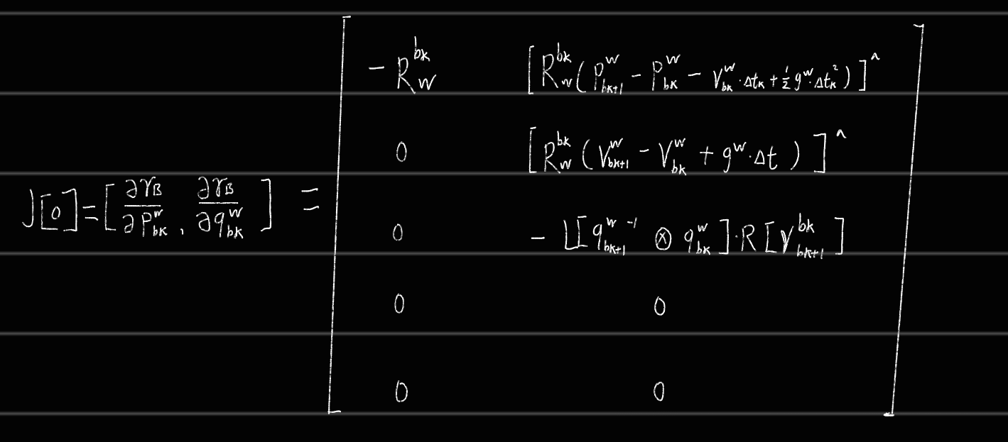
 回顾预积分(离散形式)的误差递推公式,将测量噪声也考虑进模型:

 

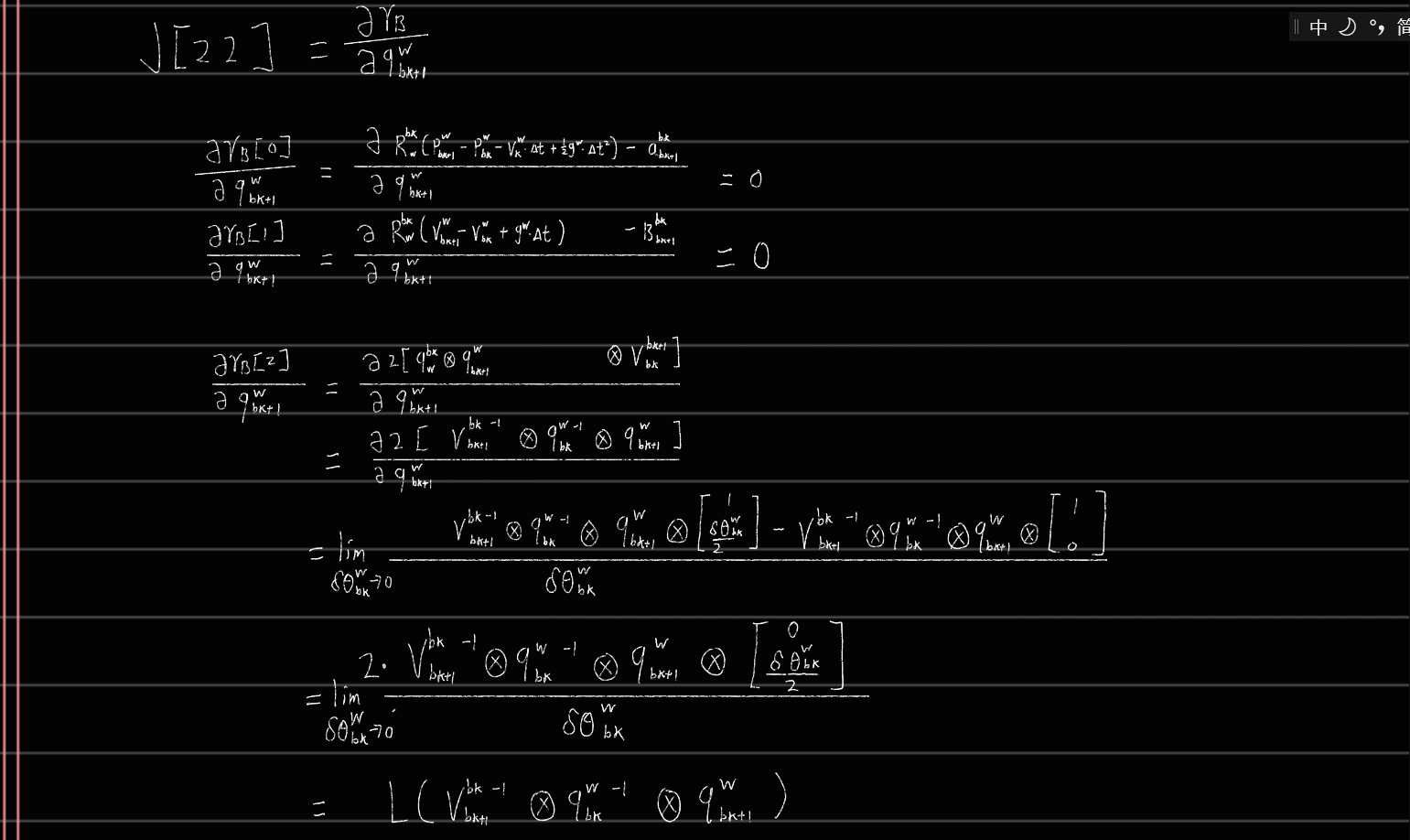
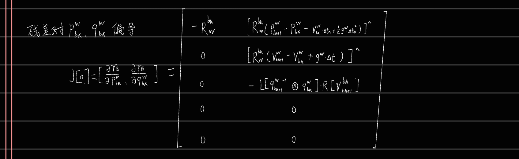
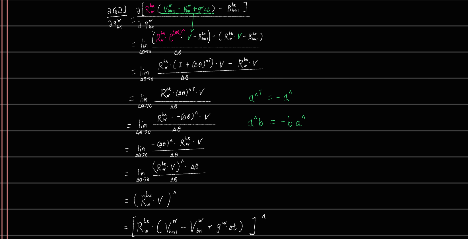
 确定误差传递的状态量,噪声量,然后开始构建传递方程。用前面一阶泰勒展开的推导方式,我们能推导出如下的形式:

 

 

 

 

 

 

 

 

 

 

 

 

 

 

 

 

 

 

 

 

 

 

 

 

 

 

 

 

 

 

 

 

 

 

 

 

 

 

 

 

 

 

 

 

 

 

 

 

 

 

 

 

 

 

 

 

 

 

 

 

 

 

 

 

 

 

 

 

 

 

 

 

 

 

 

 

 

 

 

 

 

 

 

 

 

 

 

 

 

 

 

 

 

 

 

 

 

 

 

 

posted on 2023-12-07 16:24  MKT-porter  阅读(108)  评论(0)    收藏  举报
刷新页面返回顶部
博客园  ©  2004-2025
浙公网安备 33010602011771号 浙ICP备2021040463号-3