• 博客园logo
  • 会员
  • 周边
  • 新闻
  • 博问
  • 闪存
  • 众包
  • 赞助商
  • Chat2DB
    • 搜索
      所有博客
    • 搜索
      当前博客
  • 写随笔 我的博客 短消息 简洁模式
    用户头像
    我的博客 我的园子 账号设置 会员中心 简洁模式 ... 退出登录
    注册 登录
MKT-porter
博客园    首页    新随笔    联系   管理    订阅  订阅
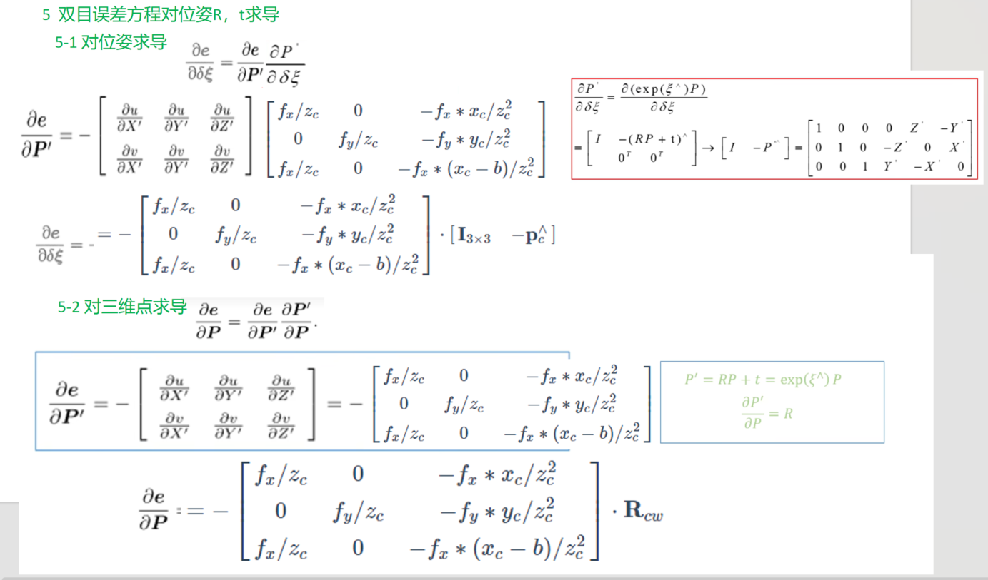
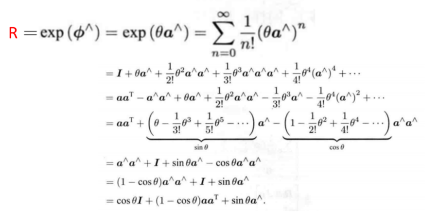
视觉VO(11-1)orb-slam 地图点到位姿边
 

 

 

 

 

 

 

 

 

 

 

 

 

 

 

 

 

posted on 2023-11-20 04:05  MKT-porter  阅读(27)  评论(0)    收藏  举报
刷新页面返回顶部
博客园  ©  2004-2026
浙公网安备 33010602011771号 浙ICP备2021040463号-3