1.数学期望:在概率论和统计学中,数学期望(mean)(或均值,也简称期望)是试验中每次可能结果的概率乘以其结果的总和,是最基本的数学特征之一,它反映随机变量平均取值的大小。需要注意的是,期望值并不一定等同于常识中的期望,期望值也许与每一个结果都不想等,期望值是该变量输出值的平均数。期望值并不一定包含与变量的输出值集合里。大数定律规定,随着重复次数接近无穷大,数值的算术平均值几乎肯定地收敛于期望值。
2.最大似然估计:maximum likelihood estimation,MLE,是一种重要而普遍的求估计量的方法。最大似然法明确地使用概率模型,其目标是寻找能够以较高概率产生观察数据的系统发生树。最大似然法是一类完全基于统计的系统发生树重建方法的代表。它是一种统计方法,用来求一个样本集的相关概率密度函数的参数。
3.方差:方差即偏离均值的平方,称为标准差或均方差。若x1,x2,x3......xn的平均数为m,则方差s^2=1/n[(x1-m)^2+(x2-m)^2+.......+(xn-m)^2],方差描述波动程度,方差小就说明数据比较稳定,方差大就是波动性比较大。
4.协方差,标准差和方差一般是用来描述一维数据的,但现实生活中我们常常会遇到含有多维数据的数据集,比如多学科的考试成绩,面对这样的数据集,可以按照每一维独立的计算其方差,但还想了解更多(比如一个男孩子的数学成绩和语文成绩是否存在一些联系)。协方差就是这样一种用来度量两个随机变量关系的统计量,可以仿照方差的定义。
来度量各个维度偏离其均值的程度,协方差可以这样来定义

协方差的结果有什么意义呢?若结果为正值,则说明两者是正相关的(从协方差可以引出“相关系数”的定义),也就是说一个学生语文越好,数学就越好。如果为负值,就说明两者是负相关,数学越差,语文越好,如果为0,两者没关系,数学好不好与语文好不好没有关联,就是统计上说的相互独立。
5.协方差矩阵
前面提到的数学与语文成绩是典型的二维问题,而协方差也只能处理二维问题,那维数多了自然就需要计算多个协方差,比如n维的数据集就需要计算很多个协方差,那自然就会想到用矩阵来组织这些数据,给出协方差矩阵的定义:

三维的例子

6.高斯分布
高斯分布(gaussian distribution),又名正态分布(Normal distribution),也称常态分布,是一个在数学,物理及工程等领域都非常重要的概率分布,在统计学的许多方面有着重大的影响力。
定义:
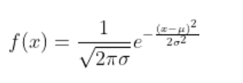
 若随机变量x服从一个期望为,方差为的概率分布,且其概率密度函数为
则这个随机变量x就称为正态随机变量,正态随机变量服从的分布就称为正态分布.
正态曲线呈现钟型,两头低,中间高,左右对称,因其曲线呈钟形,因此人们又经常称之为钟形曲线。若随机变量x服从一个数学期望为u,方差o^2为的高斯分布,记为N(u,o^2).期望值决定了x的位置,方差o^2决定了x的覆盖范围,我们通常所说的标准正态分布是的正态分布u=0 o=1.

 
                    
                     
                    
                 
                    
                 
 
                
            
         
         浙公网安备 33010602011771号
浙公网安备 33010602011771号