https://blog.csdn.net/weixin_51547017/article/details/122136427?spm=1001.2101.3001.6650.1&utm_medium=distribute.pc_relevant.none-task-blog-2%7Edefault%7ECTRLIST%7ERate-1-122136427-blog-84343506.pc_relevant_recovery_v2&depth_1-utm_source=distribute.pc_relevant.none-task-blog-2%7Edefault%7ECTRLIST%7ERate-1-122136427-blog-84343506.pc_relevant_recovery_v2&utm_relevant_index=2
仿真
https://eater.net/quaternions/video/intro
转动轴 (1,0,0) 转动角度24 实际 24*2=48度

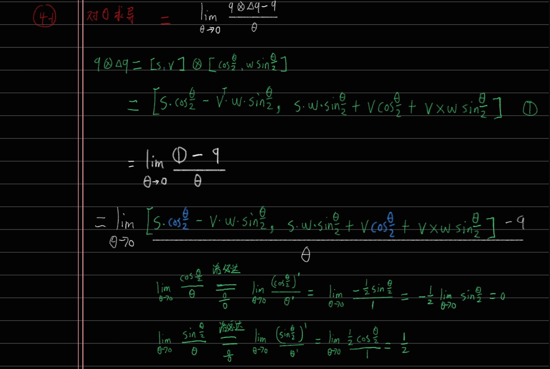
四元数对角度求导
https://blog.csdn.net/shyjhyp11/article/details/127139884
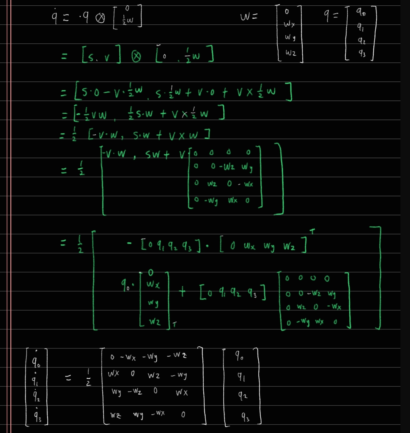
四元数对时间求导-角速度
https://blog.csdn.net/weixin_43569276/article/details/106176066
 









 
 
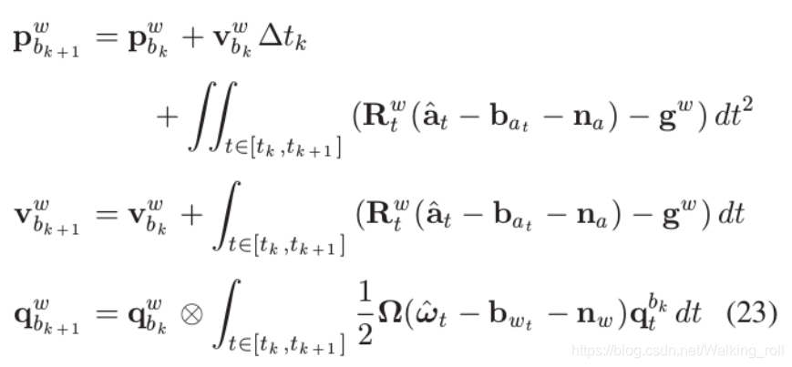
知道四元数的导数之后就可以结合IMU运动模型理解连续时间IMU预积分了。

过程

 
推导过程
 



 
 

四元数对角度的求导

应用

 
其他知识点


 https://www.cnblogs.com/youzx/p/6387740.html
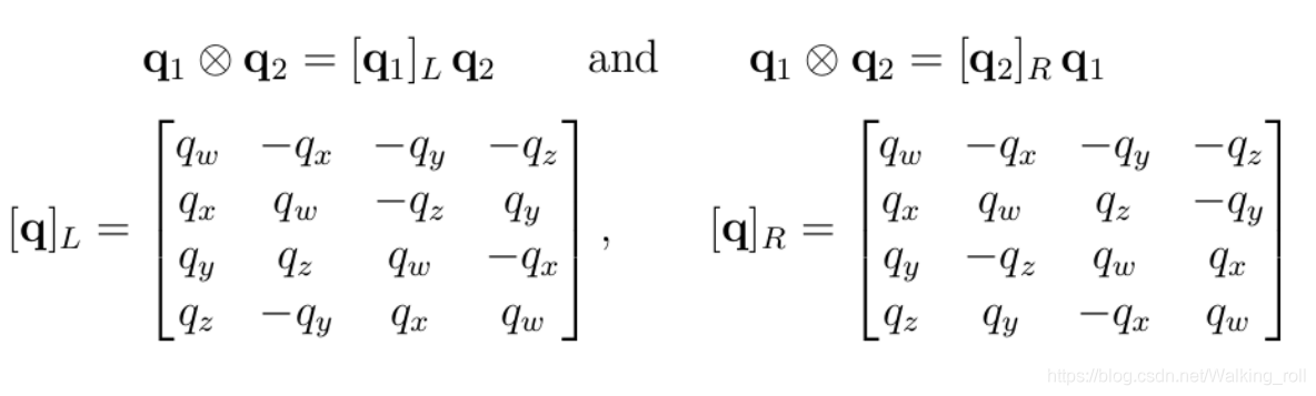
四元数和旋转矩阵的对应关系

 
                     
                    
                 
                    
                 
 
                
            
         
         浙公网安备 33010602011771号
浙公网安备 33010602011771号