路径规划学习(一)Minimum Snap
一,路径规划是什么
在机器人导航中控制机器人从A点移动到B点时,形成的一条让机器人走的又快又好的路线,就叫路径规划。
路径规划有两个过程:
1,路径规划:使用A* RRT* 等算法在(栅格地图,四/八叉图 ,RRT地图等)搜索一条从A点到B点的路径,由离散点组成。
2,轨迹规划:将路径规划形成的离散点用光滑的线条连接起来(多项式 B样条)
二,轨迹是什么样的
轨迹一般用N次多项式(polynominal)表示 (B 样条 好像更好,具体形式后面详细说明)

p0 p1 p2 .....pn是多项式的系数,把[p0 p1 p2.......pn]写成向量形式P=[p0 p1 p2.......pn]T
多项式就可以写成
p(t)=[t0,t,t2,t3......tn]P
对于任意时刻可以求出机器人的速度V,加速度a,加加速度(jerk),snap.

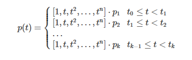
一段复杂的轨迹由多个多项式表示出来,形如

k为轨迹的段数,i指的第几段
当然这是在一维空间对时间的函数,对于二维,三维,是多个多项式的合成
二,minimum snap
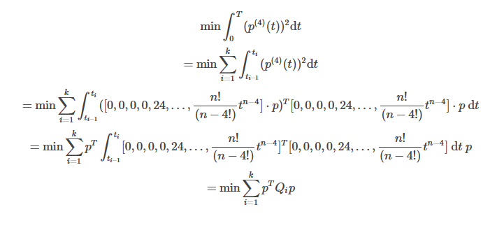
轨迹规划的目的是:求多项式的系数p
我们希望轨迹满足一定的约束条件,速度,加速度,加加速度,初始位置的速度,加速度,方向,末尾位置的速度,加速度,位置,方向,经过中间点的位置,相邻轨迹速度的连续(加速度可导,在安全区域内,轨迹的加速度小于最大加速度,速度小于最大速度等。通常满足这些约束条件的轨迹有无数条,于是我们需要构造一个目标函数,求最优解。
形如:

这是一个关于p的函数,可以求解出来最优轨迹的系数P(注意:这里的轨迹参数p是多端polynomial组成的大参数向量
),Minimum Snap顾名思义,Minimum Snap中的最小化目标函数是Snap(加速度的二阶导),当然你也可以最小化Acceleration(加速度)或者Jerk(加速度的导数),至于它们之间有什么区别,quora上有讨论。一般不会最小化速度。

三,例子
给定起点和终点的位置,速度,加速度,中途经过K+1个路径点,给定时间T,规划一条光滑轨迹。
a.时间分配
两种方法1)平均分配 ,根据每段占总的路程的比例分配时间. 2)梯形分配,如图

这里的轨迹分段和时间分配都是初始分配,在迭代算法中,如果 Obstruction check和 feasibility check不满足条件,会插点或增大某一段的时间。
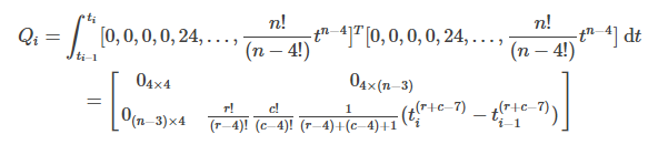
b.构建优化函数
如图(图中的倒数第二行好像有点问题)


其中

可以看出问题构造成了一个QP问题吗,接下来我们构建等式约束,(不等式约束主要用于软约束)
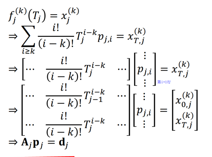
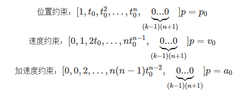
设定某一个位置的速度加速度为特定值,为一个等式约束


例如:


对中间点也构成等式约束
2.对相邻两段轨迹的速度连续,或加速度连续构成轨迹光滑约束


例如,第i,i+1段 轨迹的光滑约束为
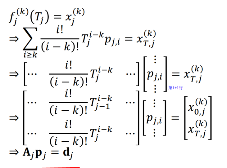
合并所有等式约束为

等式约束个数=3(起始PVA)+k-1(中间点的p)+3(终点pva)+3(k-1)(中间点PVA连续)=4k+2。
构建不等式约束
不等式约束与等式约束类似,也是设置某个点的P、V、A小于某一特定值,从而构建Aieqp=bieq
,不等式约束一般是在corridor中用的比较多,这里暂时先不使用不等式约束。
求解
利用QP求解器进行求解,在MATLAB中可以使用quadprog() 函数,C++的QP求解器如OOQP,也可以自己去网上找。

参考资料:深蓝学院
https://www.cnblogs.com/long5683/p/11871630.html

浙公网安备 33010602011771号