读 Learning Lane Graph Representationsfor Motion Forecasting
LaneGCN
- 贡献
- 使用图的模式来表达地图矢量数据,而非栅格化图片;
- 从图卷积,提出LaneGCN,设计了整个网络;
- SOTA;
- 模型框架
![image]()
三部分:特征提取(1DCNN+FPN提取车辆轨迹信息;LaneGCN提取地图特征),特征融合(注意力和LaneGCN),轨迹预测(分类概率和回归轨迹); - 具体实现
-
信息提取
- 道路图
根据车道中心线的矢量数据及连接关系构建车道图,并利用膨胀的车道图卷积(参考图卷积方式)对地图特征进行提取。
车道图构建:
将中心线的点连成的线段看作节点。节点间有四种关系{前驱,后继,左邻,右邻},对应四种邻接矩阵。节点有形状特征(长度)和位置特征,并通过MLP进行编码。
图卷积操作:
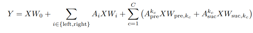
![image]()
三个部分:节点本身特征,MLP编码;左右邻,图卷积方式进行编码;前驱后继,由膨胀的图卷积方式进行编码。膨胀即将前后C个节点,均进行图卷积然后求和,以此便实现了更大的感受野。此外,整个的图卷积模块还有一个残差连接。
![image]()
- 车辆历史轨迹特征提取
提出CNNs和RNNs都能够用于时序数据特征提取。此处使用1D CNN进行特征提取,外加一个特征金字塔提却不同维度特征,最后用残差进行不同维度特征融合。
- 道路图
-
特征融合及预测
之前的研究多是actor与actor之间的关系,少关注actor与map或map与actor之间关系;- 交互网络
A2L->L2L->L2A->A2A: 除L2L是与MapNet一样,均为LaneGCN;其他三部分都是Attention机制,在A2L中,引入实时交通信息,如红绿灯信息,车道是否可用等。 - 分支预测
![image]()
两支:回归预测轨迹,分类预测概率。
回归:融合的结果直接用于轨迹预测;
分类:结合回归结果和融合结果,得出每条轨迹的概率;
思考:如何在此处实现意图指导轨迹预测?意图能否视为是预测的概率,用概率来指导实际的轨迹生成? - 损失函数
对应预测两个分支:回归损失和分类损失。
![image]()
分类损失:对于每个acotr的每条轨迹(除开有minFDE的那条),将预测分数与minFDE那条做比。总是希望minFDE的那条是最大的分数,这样做比结果为负数,max取值为0,没有损失,这是最好的,然而,当其他轨迹分数大过minFDE,那么做比结果为正,有损失,需要优化;其中,ε有增强损失的作用,当做比结构-0,我认为还不够好,这样minDFDE与其他的区别不够明显,-0+ε为正数,还需要优化。这就是max-margin loss。
![image]()
回归损失:对于minFDE的那条轨迹,每个点都和GT做比,我希望minFDE能够无限接近真实轨迹。
![image]()
- 交互网络
-
- 其他需要注意
- 栅格化地图缺点
- 信息损失
- 地图特征难以高效提取
周末赶作业实在是太赶了,实在是不可
看得匆忙







浙公网安备 33010602011771号