逻辑回归
本篇随笔是数据科学家学习第六周的内容,主要参考资料为:
1.出场率No.1的逻辑回归算法,是怎样“炼成”的?
https://mp.weixin.qq.com/s/xfteESh2bs1PTuO2q39tbQ
2.逻辑回归
3.以及《机器学习实战》
- 简介
逻辑回归是应用非常广泛的算法。逻辑回归的建模过程体现了数据建模中很重要的思想:对问题划分层次,并利用非线性变换和线性模型的组合,将未知的复杂问题分解为已知的简单问题。
- 原理 -- 计算概率
许多问题需要将概率估算值作为输出。可以使用下面两种方式来获取概率:
1."按原样"
2.转换成二元类别。
我们来了解一下如何“按原样”使用概率。假设我们创建一个逻辑回归模型来预测狗在半夜发出叫声的概率。我们将此概率称为:
p(bark | night)
如果逻辑回归模型预测 p(bark | night) 的值为 0.05,那么一年内(365天),狗的主人应该被惊醒约 18 次:
startled = p(bark | night) * nights 18 ~= 0.05 * 365
在很多情况下,逻辑回归输出将映射到二元分类问题的解决方案,该二元分类问题的目标是正确预测两个可能的标签(例如,“垃圾邮件”或“非垃圾邮件”)中的一个。之后的单元会重点介绍这一内容。
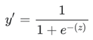
我们需要将逻辑回归模型返回的概率值映射到0和1之间:
S 型函数会产生以下曲线图:

如果Z表示使用逻辑回归训练的模型的线性层的输出,则 S 型(z) 函数会生成一个介于 0 和 1 之间的值(概率)。用数学方法表示为:

其中:
- y' 是逻辑回归模型针对特定样本的输出。
- z 是 b + w1x1 + w2x2 + … wNxN。
- w 的值是该模型学习的权重,b 是偏差。
- x 的值是特定样本的特征值。
请注意,z 也称为对数几率,因为 S 型函数的反函数表明,z 可定义为标签“1”(例如“狗叫”)的概率除以标签“0”(例如“狗不叫”)的概率得出的值的对数:
以下是具有机器学习标签的 S 型函数:

- 逻辑回归的损失函数
TODO
- 逻辑回归中的正则化
TODO
- 逻辑回归与SVM比较
TODO
浙公网安备 33010602011771号