梯度下降
本篇是机器学习小组第五周的学习内容,内容主要摘录自以下学习链接:
降低损失 (Reducing Loss):梯度下降法
https://developers.google.cn/machine-learning/crash-course/reducing-loss/gradient-descent?hl=zh_cn
机器学习必备的数学知识,一次学会
https://gitbook.cn/books/5dc2c4067b9430477fe5961c/index.html
【数据科学家学习小组】之机器学习(第一期)第五周(20191201-20191208)
https://mp.weixin.qq.com/s/UN3p9ArkkGkFOOGIUc_BYw
1.梯度下降法理解
梯度下降法是求救函数极值的算法。从求解函数极值的过程看,假设需要求解下面函数的极值:

则可以使用代数法和求导法实现。通过代数法,我们将上述函数转换为:

我们保证
取得最小值即可取得整个函数的极值。所以x=-1.通过求导法,我们得到:
同理x=-1时方程满足,函数求解。但如果函数变为:
函数中出现了指数项,则代数法不再适用。通过求导:

但仍然无法直接计算x。所以这里需要借助梯度下降法求解。那么什么是梯度?
- 梯度表示函数变化率最快的方向
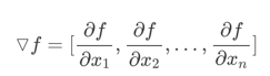
- 梯度是一阶偏导组成的向量
函数
的梯度定义式即为:

那么梯度下降法到底是什么?
- 通过导数绝对值的大小,可以判断距离的远近。
- 根据导数的正负号,可以判断最小值的坐标是在左边还是右边。
TODO
2.梯度下降法可视化
TODO
3.随机梯度下降
TODO
浙公网安备 33010602011771号