Economics 1
R8: Topics in Demand and Supply Analysis-1
Ⅰ、Demand Analysis: The Consumer
1、Demand Concepts
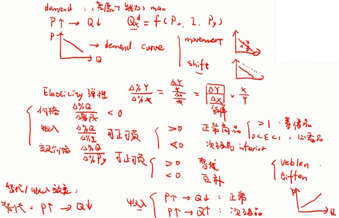
需求的概念 商品需求是消费者购买该商品的最大意愿+能力 需求定律:当商品价格上涨时,消费者会减少购买;当商品价格下跌时,他们会购买更多 商品的需求量取决于商品本身的价格、消费者的收入和其他商品的价格 它被称为需求函数,它有三个自变量,但自身价格是最重要的一个。

经济学家使用简单的线性方程来近似现实世界的函数,例如: Q=100-5Px+2I-2Py 系数的符号反映了变量之间的关系。 如果把注意力集中在需求量与自身价格之间的关系上,我们会保持另外两个不变。 设I=50,Py=40: Q=100-5Px+2×50-2×40→Q=120-5Px 反函数: Px=24-0.2Q

需求曲线是反需求函数的图形,价格在纵轴上,数量在横轴上。
需求曲线代表自愿购买的最高数量,以及每个数量自愿支付的最高价格。

商品自身价格的变化将导致需求曲线的移动,而收入/其他商品价格的变化将导致需求曲线的平移。


2、Elasticity

弹性 弹性衡量数量对任何变量的敏感程度,用百分比变化率表示。 它X的变化为1%,Y的变化。 对于需求函数,有三个变量与需求量有关,因此需求有三个弹性:价格弹性,收入弹性,交叉价格弹性。

价格弹性: 需求自身价格弹性衡量需求量对自身价格变化的敏感性(通常 < 0)。 需求函数 Q=120-5P 中,△Q/△P = -5。

当自身价格弹性的大小 < 1 时,称需求为缺乏弹性。 需求对自身价格的变化不敏感 当这个数量级 > 1 时,需求是有弹性的。 需求对自身价格的变化很敏感 当这个数量级 = 1 时,需求是单位弹性的 自身价格的1%变化导致需求量的1%变化

对于线性需求曲线,弹性取决于我们计算它的位置。
当斜率系数保持不变时,P/Q越大,弹性越大

在线性需求曲线上的单位弹性点处,总支出(p*q)最大化。
买方的总支出就是卖方的总收入。

在两种特殊情况下,线性需求曲线在所有点上都具有相同的弹性:
垂直需求曲线:
需求量对价格完全不敏感(完全没有弹性)
水平需求曲线:
即使是一点点的价格上涨也会将需求降至零(完全有弹性)

决定需求价格弹性的因素:
替代的存在
如果有足够的替代品,弹性就会很高
预算中用于商品花费占比
如果商品只占预算的一小部分,弹性就会很低
无论货物是必要的还是可选的
越有必要,弹性越低
价格变化对于需求时间长短
长期需求比短期需求更具弹性,但耐用品的作用往往相反



收入弹性: 需求的收入弹性衡量需求量对消费者收入变化的敏感性。(可正可负) 正常商品具有正收入弹性(E>0) 奢侈品:高正弹性(E>1) 必需品:正常但弹性较低(0<E<1) 次级商品具有负收入弹性(E<0) 例如:本土生产的大米、土豆或较便宜的肉块对比进口的这些就是次级品

交叉价格弹性: 需求的交叉价格弹性衡量需求量对另一种商品(Y)价格变化的敏感性。(可正可负) 如果两种商品的交叉价格弹性为正(> 0),那么它们就是替代品。 例如:麦当劳和肯德基 如果两种商品的交叉价格弹性为负(< 0),则它们是互补的。 例如:鼠标和键盘、汽车和汽油、咖啡和咖啡伴侣 替代品和互补品不一定是“相似”的




3、Substitution and Income Effect

替代与收入效应
有两个原因可以解释商品X的需求曲线呈负斜率:替代效应和收入效应。
替代效应:
当商品X的价格上涨时,消费者倾向于购买另一种类似的商品Y,因此他们购买的商品X减少。
收入效应:
当商品X的价格上涨,而消费者的货币收入保持不变时,消费者的购买力就会下降
ロ对于“正常”商品,消费者购买较少
ロ对于“劣质”商品,消费者会购买更多

对于普通商品,替代效应和收入效应都会导致需求曲线呈负斜率。
它们都指向同一个方向,相互促进。
对于次级商品,收入效应会导致消费者在价格下跌时减少购买,与替代效应相反。
“次级”并不意味着商品的质量不好
同样的商品对某些消费者来说可能是“次级的”,而对其他消费者来说则是“正常的”。(麦当劳对有钱人来说是次级品,对普通人来说是正常品)

需求曲线呈正斜率的情况有两种: 吉芬商品(价格下跌时需求减少) 一种特殊的次级品,收入效应 > 替代效应(例如过去的窝窝头,现在收入高了,即便窝头的价格再低,也很少有人买) Veblen商品(价格上涨时需求增加) 高价→高价值→高需求(例如限量跑车,对于有钱人来讲他的限量价值会使不在乎的钱的人购买,为了面子) 需求曲线并不总是正斜率 吉芬商品是次级品,而韦伯伦商品不是次级品,是正常品。

Summary:



浙公网安备 33010602011771号