傅里叶级数
前导知识:高中数学,高等数学。
学习阶段:大学数学,积分变换。
前置知识:微积分、线性代数、复变函数。
=========================================================
https://zhuanlan.zhihu.com/p/108017728
我们是如何区分开两个同时说话的人的声音的?要知道,声音本质是一种机械波,波具有叠加性,同时说话的两个人的声波叠加之后是一种混乱的波形,人却能自然而然地把它们分离开,知道哪部分声音是同一个人发出的,这其中有什么原理?
实际上,不同人说话的声波有不同的特性。男人声音低沉,也即声波频率较低;女人声音尖亮,也即声波的频率较高。声波的频率不同,则音调不同,听感也不同。同一个人说话声音的频率相近,把混合声波
中频率相近的部分分离出来,就能得到每个人各自说话的波形。人的耳朵和大脑自带这个功能,但是这个原理在数学上具有相当的难度,很晚(19世纪)才被傅里叶等人提出来。
积分变换在信号处理、音频处理、图像处理、解微分方程等领域有着重要的作用。
对于一个值随时间变化的函数 f(t),傅里叶变换告诉我们如何从中分解出频率不同的部分。傅里叶级数是局部的傅里叶变换,用离散频率的周期函数来线性表示一定区间上的 f(t) ,它是考虑无穷区间的傅里叶变换的基础。
=========================================================
傅里叶级数 转自 https://zhuanlan.zhihu.com/p/609597010
傅里叶级数的公式:

其中:

为了积分方便,积分区间一般设为[-π, π],也相当一个周期T的宽度。
1、把一个周期函数表示成三角级数:
首先,周期函数是客观世界中周期运动的数学表述,如物体挂在弹簧上作简谐振动、单摆振动、无线电电子振荡器的电子振荡等,大多可以表述为:
这里 t 表示时间, A 表示振幅, w 为角频率, Ψ为初相(与考察时设置原点位置有关,可以理解为一个常量)。
然而,世界上许多周期信号并非正弦函数那么简单,如方波、三角波等。傅里叶就想,能否用一系列的三角函数

之和来表示那个较复杂的周期函数 f(t) ?因为正弦函数 sin 可以说是最简单的周期函数了。于是,傅里叶写出下式:

这里,t 是变量,其他都是常数。与上面最简单的正弦周期函数相比,5式中多了一个 n,且 n 从 1 到无穷大。这里 f(t) 是已知函数,也就是需要分解的原周期函数。从公式5来看,傅里叶是想把一个周期函数表示成许多正弦函数的线性叠加,这许许多多的正弦函数有着不同的幅度分量(即式中An)、有不同的周期或说是频率(是原周期函数的整数倍,即n)、有不同的初相角(即
),当然还有一项常数项(即
)。要命的是,这个n是从1到无穷大,也就是是一个无穷级数。
这里强调一下,傅里叶级数中对不同频率的波有一个要求就是给定一个初始的频率
,之后的角频率必须是
的整数倍, 这就是DTF(离散傅里叶变化)中的角频率取值的原则。

因为
是个常数,
也是常数。解过常微分方程的人都知道,方程中的常数能整合到一起就整合到一起。
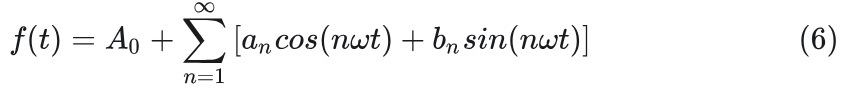
于是乎,傅里叶首先对式5作如下变形:

这个变化并不陌生,源自于三角公式:

式中,蓝色项即为我们需要合并的常数项,
记:

这样,公式{5}就可以写成如下公式{6}的形式:

到了这一步我们只要解出
的值即可。
2、麦克劳林公式中的待定系数法:

浙公网安备 33010602011771号