修改博客园模板样式

当我们注册博客园以后,首先是选择自己喜欢的首页模板,当我们对博客园给出的模板不满意时,我们就要对已有的模板进行修改。

在这里我采用的模板是SimpleMemory,因为SimpleMemory模板相对简单,便于对样式已有的修改。

这是本人修改两句代码后的修改

详细步骤:

1.寻找自己喜欢的图片,要求图片足够清晰,以免设置背景时不清楚。博客园首页->管理->相册->设置标题(相册名)->ADD->选择文件(上传图片)->ADD,单击图片进入首页,点击Original Image得到图片链接。

2.选择好模板以后进入自己博客首页,右击屏幕单击检查(本人用的是谷歌浏览器)进入,进入后点击左上角箭头单击<body>,这时在右边就会出现body样式,在这里我们可以修改样式,并在页面中看的效果,一旦刷新页面就会恢复原来效果,我只是添加了一句用于设置页面背景代码“ background: url(//images.cnblogs.com/cnblogs_com/minong/1296159/o_2212212564-11.jpg) fixed;”图片链接由上面获得。

3.复制代码到设置(博客园首页->管理->设置)里面,实现背景设置,在里面写的样式会覆盖已有的样式。

4.修改其他样式同理,例如:

#home {
margin: 0 auto;
opacity: 0.8;
width: 65%;
min-width: 1080px;
background-color: #fff;
padding: 30px;
margin-top: 50px;
margin-bottom: 50px;
box-shadow: 0 2px 6px rgba(100, 100, 100, 0.3);
}

修改透明度只是在原有的基础上改了一句代码

 

标签: css样式
6
0

» 下一篇: php语言查询Mysql数据库内容
posted @ 2018-09-08 18:59  minbk5718  阅读(2965)  评论(6编辑  收藏

#1楼 2019-03-23 11:50 Meiwah
你的主题很酷
#2楼 2019-09-29 16:00 尘酱很甜
#3楼 [楼主] 2019-10-16 11:41 minbk5718
@ Meiwah
我的主页只适合白天,晚上打开很差。
#4楼 2019-10-16 16:09 Meiwah
@ minbk5718
嘻嘻,写个脚本,日夜切换不同的主题啊(不是
#5楼 2019-11-10 14:26 WindEyes
博主这个艺术感有点强
#6楼 2020-02-06 14:36 黄棕熊
..

pandas

pandas是基于numpy的一种工具,该工具是为了解决数据分析任务而创建的,是python的一个数据分析包。是一个强大的分析结构化数据的工具集,它的使用基础是Numpy(提供高性能的矩阵运算),用于数据挖掘和数据分析,同时也提供数据清洗功能。pandas最初被作为金融数据分析工具而开发出来,因此为时间序列分析提供了很友好的支持。

数据结构:

Series:一位数组,与numpy中的一维array类似。二者与python基本的数据结构list也很相似。series如今能保存不同的数据类型,字符串,布尔型,数字等都能保存在series 中。

Time-Series:以时间为索引的series。

DataFrame:是Pandas中的一个(二维)表格型的数据结构,包含有一组有序的列,每列可以是不同的值类型(数值、字符串、布尔型等),DataFrame即有行索引也有列索引,可以被看做是由Series组成的字典或者将DataFrame理解为Series的容器。

Panel:三维度的数组,可以理解为DataFrame的容器。

Panel4D:像Panel一样的4维数据容器。

PanelND:创建像Panel4D一样N维命名容器的模块。

import numpy as np
import pandas as pd

#Data Structure

s=pd.Series([i*2 for i in range(1,11)])
print(s)
print(type(s))

 

dates=pd.date_range('20200414',periods=8)
print(dates)
print(type(dates))

 

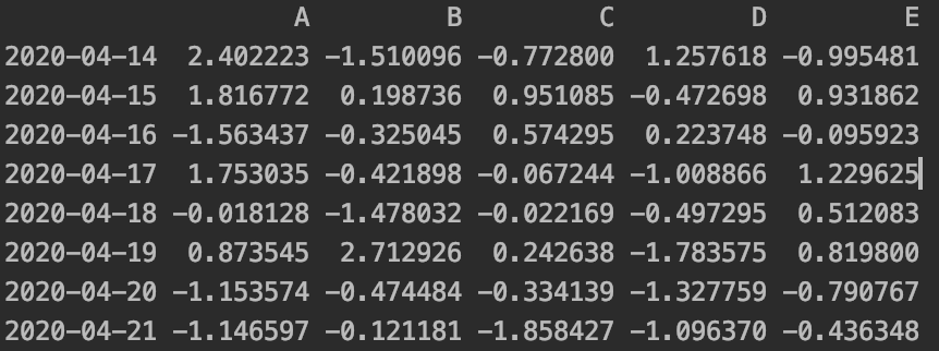
df=pd.DataFrame(np.random.randn(8,5),index=dates,columns=list('ABCDE'))
print(df)

 

df1=pd.DataFrame({'A':1,'B':pd.Timestamp('20200414'),'C':pd.Series(1,index=list(range(4)),dtype='float32'),
                  'D':np.array([3]*4,dtype='float32'),'E':pd.Categorical(['police','student','teacher','doctor'])})
df2=pd.DataFrame({'A':1,'B':pd.date_range('20200414',periods=4),'C':pd.Series(1,index=list(range(4)),dtype='float32'),
                  'D':np.array([3]*4,dtype='float32'),'E':pd.Categorical(['police','student','teacher','doctor'])})
print(df1)
print(df2)

 

#Basic

#Basic
print(df.head(3))#打印前三条
print(df.tail(3))#打印后三条
print(df.index)#索引
print(df.values)#值
print(df.T)#转置
print(df)
#print(df.sort(columns='C'))#改成sort_values
print(df.sort_values('C',ascending=False))#以C列降序进行排序
print(df.sort_index(axis=0,ascending=False))#axis=0,索引行降序排列,axis=1,索引列降序
print(df.describe())#对dataframe进行描述,个数,方差,平均值,中位数,最小值,最大值等等

 #切片

#select(切片)
print(type(df['A']))#多个series组成dataframe,所以语法一般是通用的
print(df[:3])#切片,取前三行
print(df['20200415':'20200420'])#通过索引来切片
print(df.loc[dates[0]])#取第一行
print(df.loc['20200414':'20200418'])#可以指定维度
print(df['20200414':'20200418'])#行上的选取,可以是df[0:4]
print(df.loc['20200414':'20200418',['B','D']])#可以指定维度
print(df.at[dates[0],'C'])#df.at选定一个单元格
print(df.iloc[1:3,2:4])#通过下标进行选择
print(df.iloc[1,4])#第一行第四列的单元格
print(df.iat[1,4])#第一行第四列的单元格
print(df[df.B>0][df.A<0])#取B列大于0,A列小于0的数据
print(df[df>0])#取df大于0的数据,不满足条件的返回NaN
print(df[df['E'].isin([1,2])])#E列中包含1和2的,没有返回空

 #Set

#Set
s1=pd.Series(list(range(10,18)),index=pd.date_range('20200414',periods=8))
df['F']=s1#df中新增f列
print(df)
df.at[dates[0],'A']=0#一行一列置为空
df.iat[2,2]=1#第2行2列置为1,下标是从0开始的
df.loc[:,'D']=np.array([4]*len(df))#D列置为4
print(df)
df4=df.copy()#复制df
df4[df4>0]=-df4#把所有df4中大于0的数都置为负数
print(df4)

 #缺失值处理

#Missing Values
df5=df.reindex(index=dates[:4],columns=list('ABCD')+['G'])#reindex为dataframe重新索引和列轴的功能
df5.loc[dates[0]:dates[1],'G']=1#G列的前两行置为1
print(df5)
print(df5.dropna())#删除数据为空的整行数据
print(df5.fillna(value=2))#将数据为空的值填为2
print(df5.fillna('missing'))#缺失值用字符串填充
print(df5.fillna(method='pad'))#缺失值用前一个数据代替
print(df5.fillna(method='bfill'))#缺失值用后一个数据代替
print(df5.fillna(method='pad',limit=1))#limit进行限制,限制每列只能代替一个空值
print(df5.fillna(df5.mean()))#可用描述统计量代替空值
print(df.fillna(df5.mean()['A':'B']))#选择某一列进行缺失值的处理

 #统计

#Statistic
print(df.mean())#均值
print(df.var())#方差
s=pd.Series([1,2,4,np.nan,5,7,9,10],index=dates)
print(s)
print(s.shift(2))#从前向后移动两位
print(s.diff())#与前一个数的差值,第一个数之前没有数值,所以为NaN
print(s.value_counts())#值出现的次数,绘制直方图比较方便
print(df.apply(np.cumsum))#累加,每列累加
print(df.apply(lambda x:x.max()-x.min()))#lambda匿名函数的格式:冒号前是参数,可以有多个,用逗号隔开,冒号右边的为表达式。其实lambda返回值是一个函数的                                         #地址,也就是函数对象

 #表格拼接

#Content
pieces=[df[:3],df[-3:]]#生成一个碎片,前三行,后三行,df[:-3]是截取到倒数第三行
print(pd.concat(pieces))#进行拼接
left=pd.DataFrame({'key':['x','y'],'value':[1,2]})
right=pd.DataFrame({'key':['x','z'],'value':[3,4]})
print('left:',left)
print('right:',right)
print(pd.merge(left,right,on='key',how='inner'))#内连接
print(pd.merge(left,right,on='key',how='outer'))#外连接
df6=pd.DataFrame({'A':['a','b','c','d'],'B':list(range(4))})
print(df6)
print(df6.groupby('A').sum())#分组求和,类似于SQL

 #透视表

#reshape
#类似于透视表
import datetime
df7=pd.DataFrame({'A':['one','one','two','three']*6,
                  'B':['a','b','c']*8,
                  'C':['foo','foo','foo','bar','bar','bar']*4,
                  'D':np.random.randn(24),
                  'E':np.random.randn(24),
                  'F':[datetime.datetime(2017,i,1) for i in range(1,13)]+
                      [datetime.datetime(2017,i,15) for i in range(1,13)]})
print(df7)
print(pd.pivot_table(df7,values='D',index=['A','B'],columns=['C']))#类似于excel的透视表

 #时间序列

#Time Series
t_exam=pd.date_range('20200414',periods=10)
t_exam1=pd.date_range('20200414',periods=10,freq='S')#freq设置频率,以秒为间隔
print(t_exam)
print(t_exam1)

 #图表

#Graph
ts=pd.Series(np.random.randn(1000),index=pd.date_range('20200414',periods=1000))
ts=ts.cumsum()
from pylab import *
ts.plot()
show()

 #文件操作

#File
df8=pd.read_excel('/Users/luxiaolu/Desktop/aaa.xlsx','Sheet1')#打开excel要指定sheet
#print(df8[:10])
df9=pd.read_csv('/Users/luxiaolu/Desktop/aaa.csv')#csv不需要指定sheet
print(df9[:10])#以切片的方式查看前10条
print(df9.head(10))#调用函数查看前10条
#保存为excel或者csv文件
df8.to_excel('/Users/luxiaolu/Desktop/bbb.xlsx')
df8.to_csv('/Users/luxiaolu/Desktop/bbb.csv')

  报错,解决办法:

print(df.sort(columns='C'))

 

print(df.sort_values('C'))

 也可以加上已降序的方式,不加ascending=False,默认为true

print(df.sort_values('C',ascending=False)
posted @ 2020-04-16 18:24  爬墙的小蜗牛  阅读(214)  评论(0)    收藏  举报