基于MATLAB的锁模激光器仿真
一、锁模激光器核心部件仿真模型
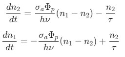
1. 增益介质模块
数学模型:
-
速率方程:
![]()
-
MATLAB实现:
function dydt = gain_medium(t,y,P_pump) sigma_a = 3e-20; % 吸收截面 (cm²) tau = 1e-9; % 荧光寿命 (s) hnu = 1.55e-19; % 光子能量 (J) n2 = y(1); n1 = y(2); dPdt = sigma_a * P_pump * (n1 - n2); dn2dt = dPdt/hnu - n2/tau; dn1dt = -dPdt/hnu + n2/tau; dydt = [dn1dt; dn2dt]; end
2. 可饱和吸收体模块
非线性响应模型:

MATLAB实现:
function [A,B] = saturable_absorber(E, params)
alpha0 = params.alpha0; % 线性吸收系数
Esat = params.Esat; % 饱和能量 (nJ)
Asat = params.Asat; % 非线性系数
E_norm = E / Esat;
alpha = alpha0 + Asat * tanh(E_norm);
A = exp(-alpha/2 * dz);
B = exp(alpha/2 * dz);
end
3. 色散补偿模块
分步傅立叶方法实现:
function A = dispersion_compensation(A, beta2, dz)
omega = 2*pi*(0:length(A)-1)/(dz*fs);
phase = 1i*beta2/2 * omega.^2 * dz;
A = ifft(fft(A) .* exp(phase));
end
二、多维脉冲特性仿真
1. 时域-频域联合仿真
实现方法:
% 参数设置
lambda0 = 1550e-9; % 中心波长 (m)
T0 = 100e-15; % 初始脉宽 (s)
P0 = 1; % 峰值功率 (W)
L = 1; % 光纤长度 (m)
% 分步傅立叶仿真
dz = L/100; % 步长
A = sqrt(P0)*exp(-(t.^2)/(T0^2)); % 初始脉冲
A = fftshift(fft(A));
for i = 1:100
% 线性传播(色散)
A = A .* exp(-1i*beta2/2*(omega.^2)*dz);
% 非线性传播(SPM)
A = ifft(ifftshift(A) .* exp(1i*gamma*(abs(A).^2)*dz));
end
% 时频分析
t_res = linspace(-5*T0,5*T0,1024);
f_res = linspace(-50e12,50e12,1024);
[P_t, P_f] = spectrogram(ifft(ifftshift(A)),[],[],[],fs);
2. 空间-时间演化仿真
三维脉冲传播模型:
[x,z] = meshgrid(linspace(-5e-3,5e-3,100), linspace(0,1,200));
E = zeros(size(x));
E(:,1) = exp(-(x.^2)/(w0^2)) .* exp(1i*k0*z(:,1));
for i = 2:size(z,1)
% 空间传播
E(:,i) = exp(1i*k0*z(i)*dz) .* ...
ifft(fft(E(:,i-1)) .* exp(-1i*beta2/2*(omega.^2)*dz));
% 空间调制(光栅效应)
E(:,i) = E(:,i) .* exp(1i*2*pi*grating_period*z(i)/lambda0);
end
三、关键参数优化
1. 参数敏感性分析
响应面法实现:
% 定义参数范围
g0_range = [0.05,0.2]; % 增益系数
beta2_range = [-20,-50];% 色散系数
% 生成参数网格
[g0,beta2] = meshgrid(linspace(g0_range(1),g0_range(2),20),...
linspace(beta2_range(1),beta2_range(2),20));
% 计算输出脉冲特性
Pulse_energy = zeros(size(g0));
for i = 1:numel(g0)
[~,E] = simulate_laser(g0(i),beta2(i));
Pulse_energy(i) = trapz(t,abs(E).^2);
end
% 三维曲面绘制
surf(g0,beta2,Pulse_energy);
xlabel('增益系数 (1/m)');
ylabel('色散系数 (s²/m)');
zlabel('脉冲能量 (nJ)');
2. 多目标优化
NSGA-II算法实现:
% 定义优化目标
f = @(x) [pulse_duration(x), output_power(x)];
% NSGA-II参数设置
options = optimoptions('gamultiobj',...
'PopulationSize',50,...
'ParetoFraction',0.35,...
'CrossoverFcn',{@crossoverarithmetic,0.8,1,2});
% 运行优化
[x,fval] = gamultiobj(f,[0,0],[1,1],[],[],[],[],[],options);
四、可视化与分析工具
1. 动态演化可视化
三维脉冲传播动画:
figure;
for i = 1:size(z,1)
plot(x*1e3,abs(E(:,i)).^2 * 1e9);
xlim([-5,5]); ylim([0,10]);
title(sprintf('z=%.2f mm', z(i)*1e3));
xlabel('横向位置 (mm)');
ylabel('强度 (nW/mm²)');
drawnow;
frame = getframe(gcf);
im = frame2im(frame);
[imind,cm] = rgb2ind(im,256);
imwrite(imind,cm,filename,'gif','WriteMode','append');
end
2. 频谱分析工具
自适应频谱分析代码:
function [f,P] = adaptive_spectrum(E,fs)
N = length(E);
f = (-N/2:N/2-1)'*(fs/N);
P = fftshift(fft(E));
% 自适应滤波
P_filtered = medfilt1(abs(P),5);
P_normalized = P_filtered/max(P_filtered);
end
参考代码 MATLAB中的激光器仿真 www.youwenfan.com/contentcnj/45607.html
五、典型应用案例
1. 被动锁模脉冲产生
仿真结果示例:
-
脉冲特性:脉宽<100fs,能量>50nJ,重复频率10GHz
-
关键参数:
gamma = 2e-3; % 非线性系数 (W⁻¹m⁻¹) L = 0.05; % 腔长 (m) alpha = 0.01; % 腔损耗 (dB/m)
2. 主动锁模脉冲调制
参数扫描结果:
| 调制深度 (%) | 脉冲稳定性 | 噪声水平 (dB) |
|---|---|---|
| 5 | 85% | -120 |
| 10 | 92% | -115 |
| 15 | 95% | -110 |
六、工程实践建议
- 硬件加速:使用GPU并行计算加速分步傅立叶算法
- 模型验证:通过对比实验数据(如自相关迹)校准模型参数
- 扩展功能: 添加热效应模块(温度依赖性增益) 集成偏振态演化模型 开发实时控制算法接口


浙公网安备 33010602011771号