线性表
github仓库:https://github.com/EanoJiang/Datastructures-and-algorithms
线性表
n个相同数据类型的数据元素构成的优先序列
n=0的时候为空表

案例1:图书管理系统

#include <stdio.h>
#include <string.h>
typedef struct {
int isbn;
char bookName[20];
double price;
}book;
void main(){
book *book_1;
book_1->isbn = 123456;
strcpy(book_1->bookName, "C程序设计");//数组赋值函数
book_1->price = 20.0;
}
顺序表(数组)
逻辑上相邻,存储空间连续
初始化
#include <stdio.h>
#include <stdlib.h>
#define MAXSIZE 100
typedef int ElemType;
typedef struct {
ElemType data[MAXSIZE];
int length;
}SeqList;
/*顺序表——初始化*/
void initList(SeqList *L){
L->length = 0;
}
int main(){
SeqList list;
initList(&list);
printf("初始化成功\n");
printf("length = %d\n", list.length);
printf("占用字节数 %zu\n", sizeof(list.data));
return 0;
}
/*如果要用指针,需要malloc分配内存*/
// int main(){
// SeqList *list = (SeqList *)malloc(sizeof(SeqList)); // 为list分配内存
// if (list == NULL) {
// printf("内存分配失败\n");
// return 1; // 如果内存分配失败,返回非零值表示错误
// }
// initList(list);
// printf("初始化成功\n");
// printf("length = %d\n", list->length);
// printf("占用字节数 %zu\n", sizeof(list->data));
// free(list); // 释放内存
// return 0;
// }
声明list ,则对应 list->参数*
声明 list ,则对应 list.参数
在尾部添加元素
/*顺序表——添加元素到末尾*/
int appendElem(SeqList *L, ElemType new){
if(L->length >= MAXSIZE){
printf("列表已满\n");
return -1;
}
//将元素添加到末尾
L->data[L->length] = new;
//更新length
L->length++;
return 1;
}
遍历顺序表
/*顺序表——遍历打印*/
void listElem(SeqList *L){
for(int i = 0; i < L->length; i++){
printf("%d ",L->data[i]);
}
printf("\n");
}
int main(){
SeqList list;
initList(&list);
printf("初始化成功\n");
printf("length = %d\n", list.length);
printf("占用字节数 %zu\n", sizeof(list.data));
printf("\n");
appendElem(&list, 1);
appendElem(&list, 2);
appendElem(&list, 3);
listElem(&list);
return 0;
}
插入元素
/*顺序表——插入元素*/
//后面的元素都向后移动一位
void insertElem(SeqList *L, int target_index, ElemType new){
if(L->length >= MAXSIZE){
printf("列表已满\n");
return;
}
if(target_index < 0 || target_index > L->length){
printf("插入位置不合法\n");
return;
}
if(target_index <= L->length){
for(int i = L->length - 1; i >= target_index; i--){
L->data[i+1] = L->data[i];
}
L->data[target_index] = new;
L->length++;
}
}
int main(){
SeqList list;
initList(&list);
printf("初始化成功\n");
printf("length = %d\n", list.length);
printf("占用字节数 %zu\n", sizeof(list.data));
printf("\n");
appendElem(&list, 1);
appendElem(&list, 2);
appendElem(&list, 3);
listElem(&list);
insertElem(&list, 2, 99);
listElem(&list);
return 0;
}
顺序表插入数据的
最佳时间复杂度:1(在尾部插入)
最差时间复杂度:n(在头部插入)
平均:n/2
删除元素
/*顺序表——删除元素*/
//后面的元素都向前移动一位
int deleteElem(SeqList *L, int target_index,ElemType *del){
//是否合法省略...
//指针写入删除的元素
*del = L->data[target_index];
if(target_index <= L->length){
for(int i = target_index; i < L->length; i++){
L->data[i] = L->data[i+1];
}
L->length--;
}
return 1;
}
int main(){
SeqList list;
initList(&list);
printf("初始化成功\n");
printf("length = %d\n", list.length);
printf("占用字节数 %zu\n", sizeof(list.data));
printf("\n");
appendElem(&list, 1);
appendElem(&list, 2);
appendElem(&list, 3);
listElem(&list);
insertElem(&list, 2, 99);
listElem(&list);
ElemType delData;
deleteElem(&list, 2, &delData);
printf("删除元素:%d\n", delData);
listElem(&list);
return 0;
}
查找
/*顺序表——查找*/
int findElem(SeqList *L, ElemType target){
for(int i = 0; i < L->length; i++){
if(L->data[i] == target){
return i;
}
}
return 0;
}
int main(){
//这里创建的是数组(顺序表),所以下面要传入数组的地址
SeqList list;
initList(&list);
printf("初始化成功\n");
printf("length = %d\n", list.length);
printf("占用字节数 %zu\n", sizeof(list.data));
printf("\n");
appendElem(&list, 1);
appendElem(&list, 2);
appendElem(&list, 3);
listElem(&list);
insertElem(&list, 2, 99);
listElem(&list);
ElemType delData;
deleteElem(&list, 2, &delData);
printf("删除元素:%d\n", delData);
listElem(&list);
printf("查找元素的index: %d\n",findElem(&list, 2));
return 0;
}
动态分配内存地址
/*顺序表——动态分配内存地址初始化*/
typedef struct {
ElemType *data;
int length;
}SeqList;
SeqList *initList(SeqList *L){
L = (SeqList *)malloc(sizeof(SeqList));
L->data = (ElemType *)malloc(sizeof(ElemType)*MAXSIZE); // 为L分配内存
L->length = 0;
return L;
}
//其他功能函数都不用改
int main(){
//创建的是一个指针,需要在声明的时候立刻分配内存
SeqList *list = initList(list);
printf("初始化成功\n");
printf("length = %d\n", list->length);
printf("占用字节数 %zu\n", sizeof(list->data));
printf("\n");
appendElem(list, 1);
appendElem(list, 2);
appendElem(list, 3);
listElem(list);
insertElem(list, 2, 99);
listElem(list);
ElemType delData;
deleteElem(list, 2, &delData);
printf("删除元素:%d\n", delData);
listElem(list);
printf("查找元素的index: %d\n",findElem(list, 2));
//记得释放内存
free(list->data);
free(list);
return 0;
}
总结:
线性表的特点
易查找,但是增删改麻烦(每次都要移动,时间复杂度高)
链表
存储结构特点:存储单元不一定连续
每个节点node包括数据域data和指针域*next
next 存的是下一个节点的地址

typedef int ElemType;
typedef struct node {
ElemType data;
struct node *next;
}Node;
初始化
/*单链表——初始化*/
Node* initList(){
Node *head = (Node*)malloc(sizeof(Node));
head->data = 0;
head->next = NULL;
return head;//返回头节点指针,头节点可以代表整个链表
}
int main(){
Node *list = initList();
return 1;
}

插入节点——头插法
/*单链表——插入元素*/
//L: 链表头节点 ,elem: 插入元素
void insertHead(Node *L,ElemType elem){
Node *tmp = (Node*)malloc(sizeof(Node));
tmp->data = elem;
tmp->next = L->next;
L->next = tmp;
}



伪代码:
tmp.data = elem
tmp.next = head.next
head.next = tmp
详解:
- 先创建一个新节点,给这个新节点的data赋值
- 让这个新节点的next指向原来头节点的下一个节点(这一步相当于复制了一个头节点作为分支,只是这个分支的data是新的)
- 最后让原来头节点的next指向这个新节点(完成连接)
这里就体现出链表的插入元素效率比顺序表更高
遍历
/*单链表——遍历*/
void listNode(Node *L){
Node *tmp = L->next;
while(tmp!= NULL){
printf("%d ",tmp->data);
//更新为下一个节点
tmp = tmp->next;
}
printf("\n");
}
int main(){
Node *list = initList();
insertHead(list,1);
insertHead(list,2);
insertHead(list,3);
listNode(list);
return 0;
}
特点:头插法的数据是和排列顺序相反的
每次都是头插,也就是先插的排在后面。
尾插法
/*单链表——尾插法*/
Node* getTail(Node *L){
Node *tmp = L;
while(tmp->next!= NULL){
tmp = tmp->next;
}
return tmp;
}
Node* insertTail(Node *tail,ElemType elem){
Node *tmp = (Node*)malloc(sizeof(Node));
tmp->data = elem;
//尾节点的next指向新节点,新节点的next指向NULL(这时候的尾节点就是新节点)
tail->next = tmp;
tmp->next = NULL;
//返回新的尾节点
return tmp;
}
int main(){
Node *list = initList();
insertHead(list,1);
insertHead(list,2);
insertHead(list,3);
listNode(list);
//这样写只在第一次得到尾指针时调用一次getTail()
//后面的尾指针均由insertTail()返回值传递
Node *tail = getTail(list);
tail = insertTail(tail,4);
tail = insertTail(tail,5);
tail = insertTail(tail,6);
listNode(list);
return 0;
}
功能函数之间最好不要嵌套,不然耦合性太高
所以我在insertTail()里面声明tail这个参数,但是不调用getTail()获取,这样时间复杂度下降同时也解耦合。




伪代码:
tmp.data = elem
tail.next = tmp
tmp.next = NULL
详解:
- 遍历找到尾节点
- 创建一个新节点,给这个新节点的data赋值
- 让尾节点的next指向新节点
- 最后让新节点的next指向NULL,新节点成为最终的尾节点
在指定位置插入数据
/*单链表——在指定位置插入元素*/
int insertNode(Node *L,int target_index,ElemType elem){
//找到索引为target_index-1的节点
Node *tmp = L;
for(int i = 0; i <= target_index-1; i++){
tmp = tmp->next;
if(tmp == NULL){
return 0;
}
}
//这时tmp就是索引为target_index-1的节点
//下面用头插法让新节点插到tmp的后面
Node *newNode = (Node*)malloc(sizeof(Node));
newNode->data = elem;
newNode->next = tmp->next;
tmp->next = newNode;
return 1;
}
int main(){
Node *list = initList();
insertHead(list,1);
insertHead(list,2);
insertHead(list,3);
listNode(list);
//这样写只在第一次得到尾指针时调用一次getTail()
//后面的尾指针均由insertTail()返回值传递
Node *tail = getTail(list);
tail = insertTail(tail,4);
tail = insertTail(tail,5);
tail = insertTail(tail,6);
listNode(list);
insertNode(list,2,99);
listNode(list);
return 0;
}
思路:
- 先遍历找到索引为target_index-1的节点tmp
- 创建一个新节点newNode,赋值data为elem
- 让新节点的next和tmp的next一样,都指向tmp的下一个节点,也就是索引为target_index的节点
- 让tmp的next指向新节点
步骤1是尾插法的遍历找到尾节点的思路,步骤2,3,4实际上就是头插法
删除节点
/*单链表——删除指定元素*/
int deleteNode(Node *L,int target_index){
//遍历找到要删除节点的前驱节点tmp
Node *tmp = L;
for(int i = 0;i <= target_index-1;i++){
tmp = tmp->next;
if(tmp == NULL){
printf("要删除的节点不存在\n");
return 0;
}
}
if(target_index < 0 ||
tmp->next == NULL){
printf("要删除的节点索引不合法\n");
return 0;
}
//delNode用来存放要删除的节点
Node *delNode = tmp->next;
//直接让tmp的next指向delNode的next
tmp->next = delNode->next;
free(delNode);
return 1;
}
int main(){
Node *list = initList();
insertHead(list,1);
insertHead(list,2);
insertHead(list,3);
listNode(list);
//这样写只在第一次得到尾指针时调用一次getTail()
//后面的尾指针均由insertTail()返回值传递
Node *tail = getTail(list);
tail = insertTail(tail,4);
tail = insertTail(tail,5);
tail = insertTail(tail,6);
listNode(list);
insertNode(list,2,99);
listNode(list);
deleteNode(list,100);
listNode(list);
deleteNode(list,-1);
listNode(list);
deleteNode(list,2);
listNode(list);
return 0;
}
思路:
- 先遍历找到要删除节点的前驱节点tmp
- 创建一个节点delNode用来存放要删除的节点,也就是delNode=tmp->next
- 直接让tmp->next = delNode->next
- 释放delNode的内存
获取链表的长度
/*单链表——获取链表长度*/
int listLength(Node *L){
Node *tmp = L;
int len = 0;
while(tmp != NULL){
tmp = tmp->next;
len++;
}
return len;
}
int main(){
Node *list = initList();
insertHead(list,1);
insertHead(list,2);
insertHead(list,3);
listNode(list);
//这样写只在第一次得到尾指针时调用一次getTail()
//后面的尾指针均由insertTail()返回值传递
Node *tail = getTail(list);
tail = insertTail(tail,4);
tail = insertTail(tail,5);
tail = insertTail(tail,6);
listNode(list);
insertNode(list,2,99);
listNode(list);
deleteNode(list,100);
listNode(list);
deleteNode(list,-1);
listNode(list);
deleteNode(list,2);
listNode(list);
printf("%d",listLength(list));
return 0;
}

长度是7,因为遍历节点的时候没有打印头节点,如下图:

释放链表
int listRealse(Node *L){
Node *tmp = L->next;
Node *q;
if(tmp == NULL){
printf("这个链表只有头节点,不用释放\n");
return 0;
}
while(tmp != NULL){
q = tmp->next;
free(tmp);
//向后更新tmp
tmp = q;
}
L->next = NULL;
return 0;
}
int main(){
Node *list = initList();
insertHead(list,1);
insertHead(list,2);
insertHead(list,3);
listNode(list);
//这样写只在第一次得到尾指针时调用一次getTail()
//后面的尾指针均由insertTail()返回值传递
Node *tail = getTail(list);
tail = insertTail(tail,4);
tail = insertTail(tail,5);
tail = insertTail(tail,6);
listNode(list);
insertNode(list,2,99);
listNode(list);
deleteNode(list,100);
listNode(list);
deleteNode(list,-1);
listNode(list);
deleteNode(list,2);
listNode(list);
printf("当前链表长度%d\n",listLength(list));
listRealse(list);
printf("当前链表长度%d\n",listLength(list));
listRealse(list);
printf("当前链表长度%d\n",listLength(list));
return 0;
}
单链表应用
双指针法
题1
思考过程:
单指针法(时间复杂度很高)
因为是单向链表,没办法反向遍历,所以想到先遍历求出链表长度,那么倒数第k个位置的索引 = 链表长度-k-1,再遍历到这个索引,返回该索引处节点的data。
缺点:求链表长度的时候是遍历求的,这部分可以用快慢指针的方法规避掉
双指针法——快慢刀




- 先让快慢指针都指向head->next
- 然后快指针先向后遍历k次
- 再让快慢指针一起向后遍历,当快指针指向NULL的时候结束,这时候慢指针就是倒数第k个位置的节点
- 返回慢指针->data
这样双指针法的时间复杂度 = 单指针遍历到倒数第k个位置的索引(链表长度-k-1)的循环次数 + 快指针一开始向后先走的k次
/*题目查找链表中倒数第k个位置的节点*/
//L:链表,k:倒数第k个位置
//单指针法
// ElemType listFind_1p(Node *L,int k){
// Node *tmp = L;
// int count = 0;
// for(int i = 0;i <= listLength(L)-k-1;i++){
// tmp = tmp->next;
// count++;
// }
// printf("单指针法查找循环了%d次,但是计算链表总长度是遍历得到的,这部分循环次数没算进来\n",count);
// return tmp->data;
// }
//双指针法
ElemType listFind_2p(Node *L,int k){
Node *fast = L->next;
Node *slow = L->next;
int count = 0;
//快指针先走k步
for(int i = 0;i < k;i++){
fast = fast->next;
}
//当快指针走到尾指针的时候,慢指针的位置就是倒数第k个
while(fast != NULL){
fast = fast->next;
slow = slow->next;
count++;
}
printf("双指针法查找循环了%d次\n",count);
return slow->data;
}
int main(){
Node *list = initList();
insertHead(list,1);
insertHead(list,2);
insertHead(list,3);
listNode(list);
//这样写只在第一次得到尾指针时调用一次getTail()
//后面的尾指针均由insertTail()返回值传递
Node *tail = getTail(list);
tail = insertTail(tail,4);
tail = insertTail(tail,5);
tail = insertTail(tail,6);
listNode(list);
insertNode(list,2,99);
listNode(list);
deleteNode(list,100);
listNode(list);
deleteNode(list,-1);
listNode(list);
deleteNode(list,2);
listNode(list);
printf("当前链表长度%d\n",listLength(list));
// listRealse(list);
// printf("当前链表长度%d\n",listLength(list));
// listRealse(list);
// printf("当前链表长度%d\n",listLength(list));
for(int i = 1;i <= 10;i++){
tail = insertTail(tail,1);
}
listNode(list);
int k = 3;
//printf("倒数第%d个节点的data是%d\n",k,listFind_1p(list,k));
printf("倒数第%d个节点的data是%d\n",k,listFind_2p(list,k));
return 0;
}

题2
//这里要改成char
typedef char ElemType;
//剩下的功能函数不变
/*题2:查找两个节点共同后缀的起始位置*/
Node* findNodeWithSuffix(Node *L1,Node *L2){
if(L1 == NULL || L2 == NULL) return NULL;
//获取两个链表的长度
int len1 = listLength(L1);
int len2 = listLength(L2);
Node *fast;//快指针
Node *slow;//慢指针
int step; //步长:长度差值
//让快指针指向较长链表的next
if(len1 > len2){
step = len1 - len2;
fast = L1->next;
slow = L2->next;
}
else{
step = len2 - len1;
fast = L2->next;
slow = L1->next;
}
//先让快指针走step步
for(int i = 0; i < step; i++){
fast = fast->next;
}
//然后两个指针一起走,直到找到快慢指针走到同一个节点(同一个后缀的第一个字母)
while(fast != slow){
fast = fast->next;
slow = slow->next;
}
return fast;
}
int main(){
Node *str1 = initList();
Node *str2 = initList();
Node *tail1 = getTail(str1);
Node *tail2 = getTail(str2);
//str1的前缀是load
tail1 = insertTail(tail1,'l');
tail1 = insertTail(tail1,'o');
tail1 = insertTail(tail1,'a');
tail1 = insertTail(tail1,'d');
//str2的前缀是be
tail2 = insertTail(tail2,'b');
tail2 = insertTail(tail2,'e');
Node *suffix = initList();
Node *tail_suffix = getTail(suffix);
//suffix是ing
tail_suffix = insertTail(tail_suffix,'i');
tail_suffix = insertTail(tail_suffix,'n');
tail_suffix = insertTail(tail_suffix,'g');
//str1和suffix相连,也就是str1的尾节点的next指向suffix的头节点的next
tail1->next = suffix->next;
//str2和suffix相连
tail2->next = suffix->next;
listNode(str1);
listNode(str2);
printf("共同后缀的起始位置:%c\n",findNodeWithSuffix(str1,str2)->data);
return 0;
}
思路:双指针法
标志位法
空间换时间
题3
思路:
创建一个全0数组,索引从0到最大的| data |,也就是长度为 | data |最大值 +1的数组,每个索引对应的数值是标识位,然后遍历比对链表节点的data,当链表中节点的data第一次出现时,就把这个data当作数组中的索引,令该位置的标识位为1;当后面再次出现时,如果数组索引的标识位为1,就删去链表中的这个节点。




/*题3:删除绝对值相同的其余节点*/
//L: 链表头节点 n: |data|的最大值(和题目给的n没关系)
void removeNode_withAbsSame(Node* L,int n){
Node *tmp = L;
//数组下标
int index;
//数组
int *arr = (int*)malloc(sizeof(int)*(n+1));
//初始化全0数组
for(int i = 0; i < n+1; i++){
arr[i] = 0;
}
//遍历链表,和数组下标index比对
//tmp是待比对节点的前驱节点
//tmp->next是待比对节点
while(tmp->next != NULL){
index = abs(tmp->next->data);
//待比对节点的data在数组下标中第一次出现为0
if(arr[index] == 0){
arr[index] = 1;
tmp = tmp->next;
}
//否则为1,已经出现过,就删除待比对节点
else{
Node *delNode = tmp->next;
tmp->next = delNode->next;
free(delNode);
}
}
}
int main(){
Node *list = initList();
Node *tail = getTail(list);
tail = insertTail(tail,21);
tail = insertTail(tail,-15);
tail = insertTail(tail,-15);
tail = insertTail(tail,7);
tail = insertTail(tail,15);
listNode(list);
removeNode_withAbsSame(list,21);
listNode(list);
return 0;
}

反转链表
思路:三指针法







/*单链表应用——反转链表*/
Node* reverseList(Node *L){
Node *first = NULL;
Node *second = L->next;
Node *third = NULL;
//结束条件
while(second != NULL){
third = second->next;
//改变箭头指向
second->next = first;
//从first开始向后挪
first = second;
second = third;
}
//把原头节点与反转后的链表重新连接起来
L->next = first;
return L;
}
int main(){
Node *list = initList();
Node *tail = getTail(list);
tail = insertTail(tail,1);
tail = insertTail(tail,2);
tail = insertTail(tail,3);
tail = insertTail(tail,4);
tail = insertTail(tail,5);
tail = insertTail(tail,6);
listNode(list);
Node *reserveredList = reverseList(list);
listNode(reserveredList);
}
删除单链表的中间节点
思路:




类比:同一个跑道,甲的速度是乙的两倍,那么甲到达终点的时候,乙就在中间。那么要删除这个中间节点的关键就是找到它的前驱节点。
上面的思路其实可以改成:
快慢指针都从头节点L开始,然后快指针每次走2,慢指针走1,结束条件是fast->next->next = NULL
/*单链表应用——删除中间节点*/
Node *deldMidNode(Node *L){
Node *fast = L;
Node *slow = L;
//找到中间节点的前驱节点,也就是fast走到尾部的前一次时slow停留的位置
while(fast->next->next!= NULL){
fast = fast->next->next;
slow = slow->next;
}
Node *delNode = slow->next;
slow->next = delNode->next;
free(delNode);
return slow;
}
int main(){
Node *list = initList();
Node *tail = getTail(list);
tail = insertTail(tail,1);
tail = insertTail(tail,2);
tail = insertTail(tail,3);
tail = insertTail(tail,4);
tail = insertTail(tail,5);
tail = insertTail(tail,6);
tail = insertTail(tail,7);
listNode(list);
printf("中间节点是:%d\n",deldMidNode(list)->data);
listNode(list);
return 0;
}

综合应用
结合 找出中间节点 和 反转链表 ,按一定规则重新排序

思路:



/*综合应用——重新排序*/
Node* reOrder(Node *L){
Node *fast = L;
Node *slow = L;
while(fast!= NULL){
fast = fast->next->next;
slow = slow->next;
}
//这时候slow就是中间节点
//把链表分成两部分
Node *L1 = L;
Node *L2 = slow->next;
slow->next = NULL;
//反转L2
//注意上面分好后,L2没有头节点,second = head->next = L2,所以second = L2
Node *first = NULL;
Node *second = L2;
Node *third = NULL;
while(second!= NULL){
third = second->next;
second->next = first;
first = second;
second = third;
}
//插入
Node *p1 = L1->next;
Node *q1 = first;
Node *p2 = NULL;
Node *q2 = NULL;
while(p1!= NULL && q1!= NULL){
p2 = p1->next;
q2 = q1->next;
//交替插入
p1->next = q1;
q1->next = p2;
//向后更新指针
p1 = p2;
q1 = q2;
}
return L;
}
int main(){
Node *list = initList();
Node *tail = getTail(list);
tail = insertTail(tail,1);
tail = insertTail(tail,2);
tail = insertTail(tail,3);
tail = insertTail(tail,4);
tail = insertTail(tail,5);
tail = insertTail(tail,6);
tail = insertTail(tail,7);
listNode(list);
Node *reOrderedList = reOrder(list);
listNode(reOrderedList);
return 0;
}

单向循环链表
和单链表的区别:遍历的终止条件不同
| 单链表 | p != NULL 或者 p->next != NULL |
|---|---|
| 单向循环链表 | p != L 或者 p->next != L |
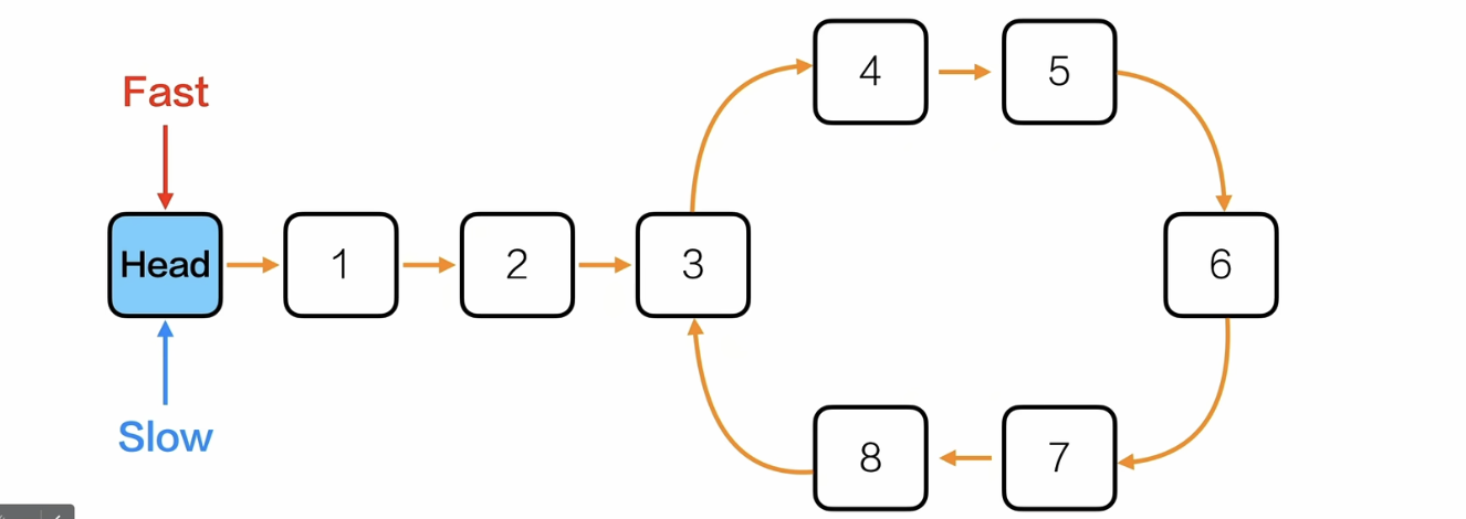
判断链表是否有环
思路:快慢指针,二者相遇的时候就说明有环


找到环的入口
方法一:
- 得到环的长度(其实在这一步快指针就已经比慢指针多走了一个环长了,所以有了下面更简便的方法二)
- 重置快慢指针到头节点,快指针先走一个环长,然后两个指针同步走,相遇的时候的节点是入口
/*找到环的入口*/
int findCircleEntry(Node *L){
//先得到环的长度
Node *slow = L;
Node *fast = L;
int circleStep = 0;
while(fast != NULL && fast->next != NULL){
fast = fast->next->next;
slow = slow->next;
circleStep++;
if(fast == slow){
break;
}
}
printf("环的长度为:%d\n",circleStep);
//初始化slow和fast指针为头节点
slow = L;
fast = L;
for(int i = 0; i < circleStep; i++){
fast = fast->next;
}
while(slow != NULL){
fast = fast->next;
slow = slow->next;
if(fast == slow){
return slow->data;
}
}
return 0;
}
int main(){
Node *list = initList();
Node *tail = getTail(list);
tail = insertTail(tail,1);
tail = insertTail(tail,2);
tail = insertTail(tail,3);
Node *tmp = tail;
tail = insertTail(tail,4);
tail = insertTail(tail,5);
tail = insertTail(tail,6);
tail = insertTail(tail,7);
tail = insertTail(tail,8);
tail->next = tmp;
if(isCircle(list)){
printf("有环\n");
}
printf("环的入口为:%d\n",findCircleEntry(list));
return 0;
}
方法二:不用计算环长,在第一次相遇之后,只重置慢指针到头节点,然后两者同步走,第二次相遇就是入口。
法二的原理就是 快指针在第一次相遇的时候就已经比慢指针多走了6次了
/*找到环的入口*/
int findCircleEntry(Node *L){
Node *slow = L;
Node *fast = L;
while(fast != NULL && fast->next != NULL){
fast = fast->next->next;
slow = slow->next;
if(fast == slow){
break;
}
}
//初始化slow和fast指针为头节点
slow = L;
while(slow != NULL){
fast = fast->next;
slow = slow->next;
if(fast == slow){
return slow->data;
}
}
return 0;
}
int main(){
Node *list = initList();
Node *tail = getTail(list);
tail = insertTail(tail,1);
tail = insertTail(tail,2);
tail = insertTail(tail,3);
Node *tmp = tail;
tail = insertTail(tail,4);
tail = insertTail(tail,5);
tail = insertTail(tail,6);
tail = insertTail(tail,7);
tail = insertTail(tail,8);
tail->next = tmp;
if(isCircle(list)){
printf("有环\n");
}
printf("环的入口为:%d\n",findCircleEntry(list));
return 0;
}

双向链表
初始化、遍历、获取链表长度、释放内存和单链表一样
//初始化和单链表一样
/*单链表——初始化*/
Node* initList(){
Node *head = (Node*)malloc(sizeof(Node));
head->data = 0;
head->next = NULL;
return head;//返回头节点指针,头节点可以代表整个链表
}
//遍历和单链表一样
/*单链表——遍历*/
void listNode(Node *L){
Node *tmp = L->next;
while(tmp!= NULL){
printf("%d ",tmp->data);
//更新为下一个节点
tmp = tmp->next;
}
printf("\n");
}
//获取链表长度和单链表一样
/*单链表——获取链表长度*/
int listLength(Node *L){
Node *tmp = L;
int len = 0;
while(tmp != NULL){
tmp = tmp->next;
len++;
}
return len;
}
//释放内存和单链表一样
/*单链表——释放内存*/
int listRealse(Node *L){
Node *tmp = L->next;
Node *q;
if(tmp == NULL){
printf("这个链表只有头节点,不用释放\n");
return 0;
}
while(tmp != NULL){
q = tmp->next;
free(tmp);
//向后更新tmp
tmp = q;
}
L->next = NULL;
return 0;
}
头插法
下图中的箭头是指针指向



步骤:
- 新节点的前驱 是 头节点,后驱 是 头节点的next
- 头节点的next的前驱 是 新节点
- 头节点的后驱 是 新节点
/*双向链表——头插法*/
int insertHead(Node *L,ElemType elem){
Node *p = (Node*)malloc(sizeof(Node));
//新节点的前驱 是 头节点,后驱 是 头节点的后继节点
p->data = elem;
p->prev = L;
p->next = L->next;
//头节点的后继节点的前驱 是 新节点
if(L->next!= NULL){
L->next->prev = p;
}
//头节点的新后继节点 是 新节点
L->next = p;
return 1;
}
int main(){
Node *list = initList();
insertHead(list,1);
insertHead(list,2);
insertHead(list,3);
insertHead(list,4);
listNode(list);
return 0;
}

尾插法



步骤:
- 新节点的前驱是尾节点
- 尾节点的后驱是新节点
- 给新节点的next赋值NULL,成为新的尾节点
/*双向链表——尾插法*/
//获取尾节点的方法和单链表一样
Node* getTail(Node *L){
Node *tmp = L;
while(tmp->next != NULL){
tmp = tmp->next;
}
return tmp;
}
Node* insertTail(Node *tail,ElemType elem){
Node* tmp = (Node*)malloc(sizeof(Node));
tmp->data = elem;
tmp->prev = tail;
tail->next = tmp;
//更新尾节点指针
tmp->next = NULL;
return tmp;
}
int main(){
Node *list = initList();
Node *tail = getTail(list);
tail = insertTail(tail,1);
tail = insertTail(tail,2);
tail = insertTail(tail,3);
listNode(list);
return 0;
}

在指定位置插入数据


步骤:
- 新节点的前驱和后驱 分别是 指定节点和指定节点的next
- 指定节点的next的前驱 是 新节点,指定节点的后驱 是 新节点
/*双向链表——指定位置插入节点*/
int insertPos(Node *L,int targetIndex,ElemType elem){
//获取目标位置的前驱节点
Node *p = L;
//如果定义的是L->next,下面获取的就是指定位置的后驱节点
for(int i = 0;i < targetIndex;i++){
p = p->next;
}
Node *tmp = (Node*)malloc(sizeof(Node));
tmp->data = elem;
tmp->prev = p;
tmp->next = p->next;
p->next->prev = tmp;
p->next = tmp;
return 1;
}
int main(){
Node *list = initList();
Node *tail = getTail(list);
tail = insertTail(tail,1);
tail = insertTail(tail,2);
tail = insertTail(tail,3);
listNode(list);
insertPos(list,1,99);
listNode(list);
return 0;
}

删除节点


步骤:
- 遍历找到del节点的前驱节点
- 记录del节点
- 前驱节点的后驱 是 del节点的next
- del节点的next的前驱是 前驱节点
/*双向链表——删除指定位置的节点*/
Node* delNode(Node *L,int targetIndex){
//获取前驱节点
Node *p = L;
for(int i = 0;i < targetIndex;i++){
p = p->next;
if(p == NULL){
return 0;
}
}
//记录要删除的节点
Node *del = p->next;
//如果要删除的节点不存在
if(del == NULL){
printf("要删除的节点不存在\n");
return 0;
}
//如果要删除的是尾节点,则直接更新尾节点指针为前驱节点
else if(del->next == NULL) {
p->next = NULL;
return L;
}
p->next = del->next;
del->next->prev = p;
free(del);
return L;
}
int main(){
Node *list = initList();
Node *tail = getTail(list);
tail = insertTail(tail,1);
tail = insertTail(tail,2);
tail = insertTail(tail,3);
listNode(list);
insertPos(list,1,99);
listNode(list);
delNode(list,1);
listNode(list);
return 0;
}

总结:顺序表vs链表

综合习题:
题一

分析:
| c | a | e | b | d | ||
|---|---|---|---|---|---|---|
| 地址 | 1008H | 1000H | 1010H | 1004H | 100CH | NULL |
插入后,
| c | a | f | e | b | d | ||
|---|---|---|---|---|---|---|---|
| 地址 | 1008H | 1000H | 1014H | 1010H | 1004H | 100CH | NULL |
所以a,f,e的链接地址(链表中的next)是:1014H,1010H,1004H
a,e,f就是:1014H,1004H,1010H
选D
题二

p->next->prev = p->prev;
p->prev->next = p->next;
free(p);
选D




浙公网安备 33010602011771号