11.6.1 基础
动量法之所以叫动量法的原因:实际上是在维护一个动量,从而让每一次改变(由于惯性)不改变太多,减少震荡

有效样本权重那里,翻译有错误。原文说的是在(随机)梯度下降中将\(\eta\)变为\(\frac{\eta}{1-\beta}\),而不是在动量法中。这样子做相当于在(随机)梯度下降中模拟了一个近似的动量法。但是有效样本权重真正的意思见下
动量法其实用的是一个叫做指数加权平均的技术
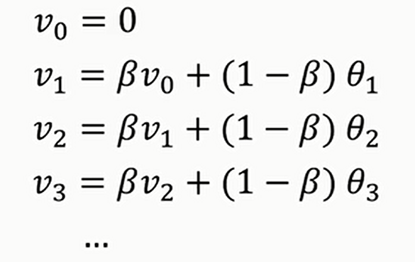
指数加权平均就是给定一个如下的序列

对于\(v_i\),其计算的是
到
的平均值
原因:利用公式\(\underset{x\rightarrow0^+}{\lim}(1-x)^{\frac{1}{x}}=e^{-1}\),写出\(v_i\)的通项公式之后就可以知道,我们只用考虑\(i\)前面\(\frac{1}{1-\beta}\)项就好了,其余的项基本可以忽略
但是这里会存在一个问题,当\(i\)比较小的时候,可能无法进行正确估计,比如当\(\beta=0.98\)的时候,可以计算一下\(v_2\),不能正确估计\(\theta_1\)和\(\theta_2\)的平均值(两者的系数都太小了),这个时候要进行修正,即\(v_i^{'}=\frac{v_i}{1-\beta^i}\)(当\(t\)比较大的时候,这个修正显然就无效了)
另一个理解动量法的视角见下
动量梯度下降就要用到前面的加权平均法了

如上图,普通的梯度下降法可能会震荡,导致接近最优值的速度很慢;可是如果我们进行平均了,\(y\)方向的正负向量就抵消了,\(x\)方向的正向量相加

就可以像上图红线一样快速接近最优值了

一般来说\(\beta=0.9\);一般不会进行偏差修正,因为仅仅迭代十次之后就已经不怎么存在偏差了,所以几乎没有人会做偏差修正
如果有多层的话,更新公式见下
注意:
- 速度用零初始化。因此,算法需要几次迭代来“积累”速度并开始采取更大的步骤。
- 如果\(β=0\),那么这就变成了没有动量的标准的梯度下降。
如何选择\(\beta\)?
- 动量\(\beta\)越大,更新越平滑,因为我们更多地考虑过去的梯度。但如果\(\beta\)太大,它也可能使更新过于平滑。
- \(\beta\)的常见值范围从\(0.8\)到\(0.999\).如果你不想调整这个值,\(\beta=0.9\)通常是一个合理的默认值。
- 为你的模型调整最优的\(\beta\)可能需要尝试几个值,以查看哪个值在减少成本函数\(J\)的值方面效果最好。
你应该记住的要点:
- 动量考虑过去的梯度以平滑梯度下降的步骤。它可以应用于批量梯度下降、小批量梯度下降或随机梯度下降。
- 你必须调整动量超参数\(\beta\)和学习率\(\alpha\)。

浙公网安备 33010602011771号