传送带
建立函数按照这篇文章建立
但是证明这个函数是单峰的还是比较困难,我们只能来感性理解一下
我们首先将\(CD\)从线段变成直线,然后在\(F\)为无穷远的时候,函数值显然为无穷,然后我们把\(F\)拉到附近,函数值显然就为有限值了,再将\(F\)拉到另一端的无穷远,函数值又为无穷了,像这种一般都是三分,可以直接上三分了
update 2025.1.6
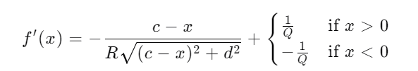
其实利用导数可以证明是三分的。假设我们现在已经固定了\(AB\)上面的一个点为\(E\),我们现在要在\(CD\)上面找到一个点\(F\),使得时间最短。我们不妨设\(D\)为坐标原点,\(DF\)为\(x\)轴,\(F(x,0),E(c,d)\),于是所用的时间就是
这个函数的一阶导和二阶导见下


显然二阶导是大于\(0\)的,也就意味这一阶导是单调递增的;显然当\(x\to+\infty\)时,\(f^{'}(x)\to\frac{1}{R}+\frac{1}{Q}\),当\(x\to-\infty\)时,\(f^{'}(x)\to-(\frac{1}{R}+\frac{1}{Q})\),所以可以证明这是一个凹函数
update 2026.2.11
下面给一个“可以写进题解/证明题”的严格说法:你担心的“离开 (X) 之后又回到 (AB)”其实是定义问题——把 (X) 定义成“最后一次在 (AB) 上的点”,就从逻辑上排除了“又回到 (AB)”的可能。
1. 先把“路径”说清楚
把一条可行路线看成一个连续曲线
[
\gamma:[0,T]\to\mathbb R^2,\qquad \gamma(0)=A,\ \gamma(T)=D
]
并且满足速度约束:当 (\gamma(t)\in AB) 时在 (AB) 上走、速度上界 (P);当 (\gamma(t)\in CD) 时在 (CD) 上走、速度上界 (Q);其余在平面里速度上界 (R)。(你用哪种等价的“时间=路程/速度”表述都行,下面只用到连续性。)
2. 关键:对任意一条路线,“最后一次在 (AB) 上的时刻”一定存在
定义集合
[
S_{AB}={,t\in[0,T]\mid \gamma(t)\in AB,}.
]
- 因为 (\gamma(0)=A\in AB),所以 (S_{AB}\neq\varnothing)。
- 因为 (AB) 是闭集、(\gamma) 连续,所以 (\gamma^{-1}(AB)=S_{AB}) 是 ([0,T]) 的闭子集。
- ([0,T]) 是紧致集,非空闭子集在其中必有最大元,因此存在
[
\tau=\max S_{AB}.
]
令
[
X=\gamma(\tau)\in AB.
]
3. 这就严格证明了:离开这个 (X) 之后不可能再回到 (AB)
由 (\tau=\max S_{AB}) 的定义立刻得到:
对所有 (t>\tau),都有 (t\notin S_{AB}),也就是 (\gamma(t)\notin AB)。
换句话说,把 (X) 取为这条路径“最后一次落在 (AB) 上的点”时,从 (\tau) 之后这条路径根本不可能再碰到 (AB)。
所以“万一离开 (X) 之后又回到 (AB)”在这个定义下是矛盾的。
4. 这对你三分模型意味着什么?
你在三分里枚举的那个 (X) 本质上就应该理解为:
“最后一次离开 (AB) 的点”(等价于“最后一次在 (AB) 上的点”)。
任何一条看似“离开又回来”的路径,都有一个更靠后的“最后在 (AB) 上的点” (X);只要你优化时允许 (X) 在整段 (AB) 上取值,你就不会漏掉这种路径对应的“真正最后离开点”。
(同理也可以对 (CD) 定义 (S_{CD})、得到“最后一次在 (CD) 上的点”。如果你要的是“第一次进入 (CD) 后就不再离开”的表述,可以用“从某时刻起一直在 (CD) 上”的最小时刻来定义,证明套路一样。)
如果你接下来想把“从 (X) 到 (Y) 必须走直线、所以能写成 (\frac{|AX|}{P}+\frac{|XY|}{R}+\frac{|YD|}{Q})”也写成同样严格的版本,我也可以继续把那部分按“取最后/最初接触点 + 用三角不等式把平面段拉直”补全成一套完整证明。
看不懂上面的推导。有空再看吧

浙公网安备 33010602011771号