反向传播
🔍 神经网络结构与前向传播解析
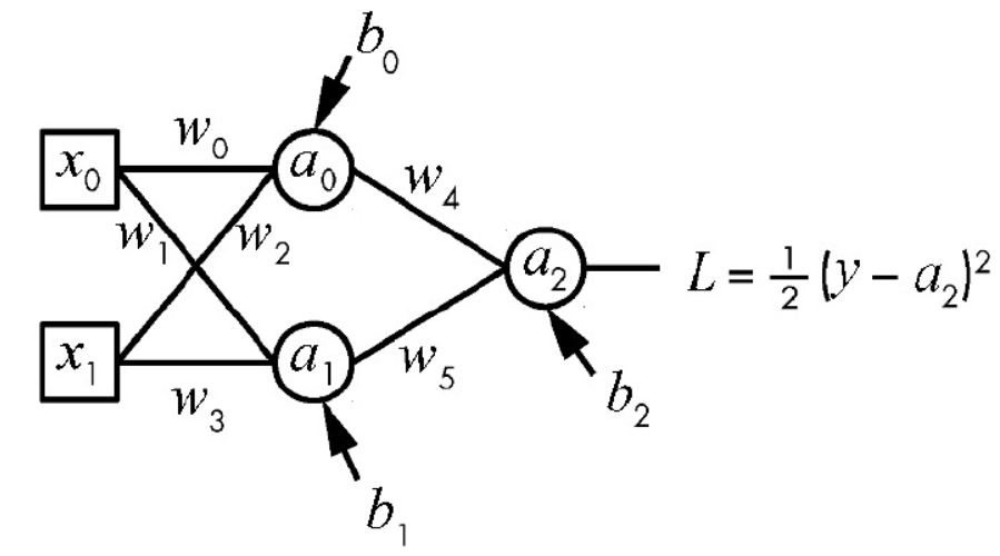
这是一个典型的两层全连接神经网络(1个隐藏层 + 1个输出层),我帮你拆解一下它的结构和前向传播过程:

🔎 网络结构
- 输入层:2个神经元,输入为 \(x_0, x_1\)
- 隐藏层:2个神经元,激活函数为S型函数(sigmoid)
- 输出层:1个神经元,无激活函数(线性输出)
- 可学习参数:6个权重 \(w_0 \sim w_5\) 和3个偏置 \(b_0 \sim b_2\)
🔄 前向传播计算步骤
1. 隐藏层计算
对于隐藏层的每个神经元,先计算加权输入和,再通过sigmoid激活函数得到输出:
2. 输出层计算
输出层直接对隐藏层的输出进行加权求和,不使用激活函数:
3. 损失函数定义
平方误差损失函数为:
其中 \(y\) 是样本标签(0或1),可以看作常量。\(a_2\) 是网络的预测输出。
损失函数与梯度计算
在损失函数 $ L $ 的输入中,真实标签 $ y $ 为常量,网络输出 $ a_2 $ 为直接自变量。然而,由于 $ a_2 $ 是神经网络前向传播的结果,其值依赖于模型参数:
而中间激活值 $ a_0 $ 和 $ a_1 $ 又由输入 $ x_0, x_1 $ 和底层参数决定:
因此,$ a_2 $ 实质上是所有权重和偏置的复合函数。由此,损失函数可表示为关于模型参数 $ \theta $ 的函数:
其中:
- $ \theta = { w_0, w_1, w_2, w_3, w_4, w_5, b_0, b_1, b_2 } $ 为所有可学习参数(权重与偏置)的集合,作为自变量;
- $ x = (x_0, x_1) $ 为输入特征;
- $ y $ 为真实标签;
- $ x_0, x_1, y $ 在当前计算中视为常量。
梯度计算
为了优化模型参数,我们需要计算损失函数对每个参数的偏导数,即梯度向量 $ \nabla_\theta L(\theta; x, y) $。
具体地,需计算以下 9 个偏导数:
这些偏导数通过链式法则(Backpropagation)逐层反向传播计算,构成梯度下降等优化算法的基础
🧮 误差反向传播(BP)梯度推导
核心前提:
损失函数为 $ L = \frac{1}{2}(y - a_2)^2 $,则\[\frac{\partial L}{\partial a_2} = a_2 - y \]
一、正向传播公式回顾(变量依赖关系)
给定输入 $ x_0, x_1 $,参数 $ w_0 \sim w_5, b_0, b_1, b_2 $,前向计算如下:
其中 \(\sigma(z)\) 是 sigmoid 激活函数,其导数满足:
二、反向传播:逐层计算偏导数
我们需计算损失 \(L\) 对全部 9 个参数 的偏导数。按从输出到输入的顺序进行。
第1组:输出层参数(直接连接 \(a_2\))
由于 \(a_2 = w_4 a_0 + w_5 a_1 + b_2\),对这些参数求导非常直接:
第2组:隐藏层第1个神经元(对应 \(z_1, a_1\))
该路径为:
$ L \to a_2 \to a_1 \to z_1 \to (w_1, w_3, b_1) $
先计算误差信号在 \(z_1\) 处的值(即 \(\delta_1 = \frac{\partial L}{\partial z_1}\)):
然后分别对参数求导(注意 \(z_1 = w_1 x_0 + w_3 x_1 + b_1\)):
第3组:隐藏层第0个神经元(对应 \(z_0, a_0\))
该路径为:
$ L \to a_2 \to a_0 \to z_0 \to (w_0, w_2, b_0) $
同理,先算误差信号 \(\delta_0 = \frac{\partial L}{\partial z_0}\):
再对参数求导(\(z_0 = w_0 x_0 + w_2 x_1 + b_0\)):
三、最终结果汇总表(9个偏导数)
| 参数 | 偏导数表达式 |
|---|---|
| \(\dfrac{\partial L}{\partial w_4}\) | \((a_2 - y) \cdot a_0\) |
| \(\dfrac{\partial L}{\partial w_5}\) | \((a_2 - y) \cdot a_1\) |
| \(\dfrac{\partial L}{\partial b_2}\) | \(a_2 - y\) |
| \(\dfrac{\partial L}{\partial b_1}\) | \((a_2 - y) \cdot w_5 \cdot a_1(1 - a_1)\) |
| \(\dfrac{\partial L}{\partial w_1}\) | \((a_2 - y) \cdot w_5 \cdot a_1(1 - a_1) \cdot x_0\) |
| \(\dfrac{\partial L}{\partial w_3}\) | \((a_2 - y) \cdot w_5 \cdot a_1(1 - a_1) \cdot x_1\) |
| \(\dfrac{\partial L}{\partial b_0}\) | \((a_2 - y) \cdot w_4 \cdot a_0(1 - a_0)\) |
| \(\dfrac{\partial L}{\partial w_0}\) | \((a_2 - y) \cdot w_4 \cdot a_0(1 - a_0) \cdot x_0\) |
| \(\dfrac{\partial L}{\partial w_2}\) | \((a_2 - y) \cdot w_4 \cdot a_0(1 - a_0) \cdot x_1\) |
四、使用说明
在训练时,对每个样本 \((x_0, x_1, y)\):
- 前向传播:计算 \(a_0, a_1, a_2\)
- 反向传播:代入上表公式,计算9个偏导数
- 参数更新(例如用学习率 \(\eta\)):\[w_i \leftarrow w_i - \eta \cdot \frac{\partial L}{\partial w_i}, \quad b_j \leftarrow b_j - \eta \cdot \frac{\partial L}{\partial b_j} \]
这样就完成了单样本的反向传播全过程。
🧠 神经网络训练的梯度下降详解
我们训练一个三层全连接网络:
- 输入:$ x = (x_0, x_1) $
- 隐藏层:2 个 sigmoid 神经元 → 输出 $ a_0, a_1 $
- 输出层:线性组合 → $ a_2 $(可视为 logits,或直接用于 MSE)
- 损失函数:$ L = \frac{1}{2}(y - a_2)^2 $
- 可学习参数共 9 个:\[\theta = (w_0, w_1, w_2, w_3, w_4, w_5, b_0, b_1, b_2) \]
步骤 1:定义目标函数与梯度
-
目标函数(损失):
\[L(\theta; x, y) = \frac{1}{2}(y - a_2(\theta))^2 \]其中 $ a_2(\theta) $ 是通过前向传播由 \(\theta\) 和输入 \(x\) 决定的。
-
梯度向量(9 维):
\[\nabla_\theta L = \left( \frac{\partial L}{\partial w_0}, \frac{\partial L}{\partial w_1}, \frac{\partial L}{\partial w_2}, \frac{\partial L}{\partial w_3}, \frac{\partial L}{\partial w_4}, \frac{\partial L}{\partial w_5}, \frac{\partial L}{\partial b_0}, \frac{\partial L}{\partial b_1}, \frac{\partial L}{\partial b_2} \right)^T \]各分量按上一节表格计算。
步骤 2:初始化参数
-
随机初始化所有权重和偏置(例如用小随机数):
\[\begin{aligned} &w_0^{(0)} = 0.1,\ w_1^{(0)} = -0.2,\ w_2^{(0)} = 0.3,\ w_3^{(0)} = 0.15,\\ &w_4^{(0)} = -0.1,\ w_5^{(0)} = 0.2,\\ &b_0^{(0)} = 0.0,\ b_1^{(0)} = 0.0,\ b_2^{(0)} = 0.0 \end{aligned} \]记为初始参数向量 $ \theta^{(0)} $。
-
设置超参数:
- 学习率:$ \eta = 0.1 $
- 收敛阈值:$ \varepsilon = 10^{-5} $
- 最大迭代次数:$ N_{\text{max}} = 1000 $
步骤 3:对单个样本进行一次训练迭代(类比你的 k=0,1,...)
假设当前样本为:
▶ 第 0 轮(k = 0)
-
前向传播(用 $ \theta^{(0)} $):
- $ z_0 = w_0 x_0 + w_2 x_1 + b_0 = 0.1 \times 5.1 + 0.3 \times 3.5 + 0 = 1.56 $
- $ a_0 = \sigma(1.56) \approx 0.826 $
- $ z_1 = w_1 x_0 + w_3 x_1 + b_1 = (-0.2)\times5.1 + 0.15\times3.5 \approx -0.495 $
- $ a_1 = \sigma(-0.495) \approx 0.379 $
- $ a_2 = w_4 a_0 + w_5 a_1 + b_2 = (-0.1)(0.826) + 0.2(0.379) \approx 0.0068 $
-
计算损失:
\[L = \frac{1}{2}(1 - 0.0068)^2 \approx 0.493 \] -
反向传播:计算梯度(代入公式)
- $ \delta = a_2 - y = 0.0068 - 1 = -0.9932 $
- 输出层:
- $ \frac{\partial L}{\partial w_4} = \delta \cdot a_0 \approx -0.9932 \times 0.826 \approx -0.820 $
- $ \frac{\partial L}{\partial w_5} = \delta \cdot a_1 \approx -0.9932 \times 0.379 \approx -0.376 $
- $ \frac{\partial L}{\partial b_2} = \delta \approx -0.9932 $
- 隐藏层(第1个神经元):
- $ \delta_1 = \delta \cdot w_5 \cdot a_1(1 - a_1) \approx (-0.9932)(0.2)(0.379)(1 - 0.379) \approx -0.047 $
- $ \frac{\partial L}{\partial w_1} = \delta_1 \cdot x_0 \approx -0.047 \times 5.1 \approx -0.240 $
- $ \frac{\partial L}{\partial w_3} = \delta_1 \cdot x_1 \approx -0.047 \times 3.5 \approx -0.165 $
- $ \frac{\partial L}{\partial b_1} = \delta_1 \approx -0.047 $
- 隐藏层(第0个神经元):
- $ \delta_0 = \delta \cdot w_4 \cdot a_0(1 - a_0) \approx (-0.9932)(-0.1)(0.826)(0.174) \approx +0.0142 $
- $ \frac{\partial L}{\partial w_0} = \delta_0 \cdot x_0 \approx 0.0142 \times 5.1 \approx 0.072 $
- $ \frac{\partial L}{\partial w_2} = \delta_0 \cdot x_1 \approx 0.0142 \times 3.5 \approx 0.050 $
- $ \frac{\partial L}{\partial b_0} = \delta_0 \approx 0.0142 $
-
计算梯度范数(判断是否收敛):
\[\|\nabla_\theta L\| = \sqrt{(-0.820)^2 + (-0.376)^2 + \cdots + (0.072)^2} \approx 1.02 > \varepsilon \] -
参数更新(梯度下降):
\[\theta^{(1)} = \theta^{(0)} - \eta \cdot \nabla_\theta L \]例如:
- $ w_4^{(1)} = w_4^{(0)} - 0.1 \times (-0.820) = -0.1 + 0.082 = -0.018 $
- $ w_0^{(1)} = 0.1 - 0.1 \times 0.072 = 0.0928 $
- $ b_2^{(1)} = 0 - 0.1 \times (-0.9932) = 0.0993 $
- ……(其余类似)
🔁 这一步完全对应你例子中的:
$ x_1 = x_0 - \alpha \cdot f_x' $,只是现在有 9 个变量同时更新。
步骤 4:重复迭代直到收敛
- 对同一个样本继续迭代(在线学习),或遍历整个数据集(批量/随机梯度下降)。
- 每轮计算新的 $ a_2 $、损失 \(L\)、梯度 \(\nabla_\theta L\)。
- 当 $ |\nabla_\theta L| < \varepsilon $ 或达到最大轮数时停止。
步骤 5:最终结果
- 得到最优参数 $ \theta^* \approx (w_0^, \dots, b_2^) $
- 此时模型对训练样本的预测误差最小:$ a_2 \approx y $
- 损失 $ L \to 0 $(理想情况下)
✅ 总结:神经网络训练 = 高维梯度下降
最终公式(通用形式)
对任意参数 \(\theta_i\),更新规则为:
这正是你最初写的 $ x_{k+1} = x_k - \alpha f'(x_k) $ 在高维、复合函数下的推广。

浙公网安备 33010602011771号