图像生成-flow matching 条件化-13
参考
https://g.co/gemini/share/c0f7881543f7
https://zhuanlan.zhihu.com/p/685921518



这部分内容是 Flow Matching 框架下的具体“工程实践”。我们已经知道了“条件化”是解决问题的关键,现在的问题是:具体应该选择什么样的条件路径 \(p_t(x|x₁)\) 和条件向量场 \(u_t(x|x₁)\) 呢?
两种主流的设计思路:一种是借鉴经典的扩散模型(Diffusion),另一种是采用更直接的最优传输(Optimal Transport, OT)。
设计的灵活性
Flow Map的设计(即μ_t和σ_t函数的设计)是非常灵活的。我们可以根据不同的应用场景和需求,选择不同的函数。

非常形象的方式展示了两种设计思路产生的路径差异:
Diffusion(左图):从噪声点(黑色方块)到数据点(所有曲线的交汇点)的路径是弯曲的(curved)。
OT(右图):路径是笔直的(straight)。
这两种路径形状的差异,是这两种方法本质区别的最直观体现。
思路一:扩散条件向量场 (Diffusion conditional Vector Fields)
这个思路是“站在巨人的肩膀上”。我们直接借鉴经典扩散模型(如DDPM)中使用的加噪过程,来反向定义我们的条件路径。这通常会产生非线性的、弯曲的路径。
两种源于扩散模型的思路:
Variance Exploding (VE) - 方差爆炸式
来自一类早期扩散模型,它们在加噪(前向)过程中,信号的强度不变,但噪声的方差会随时间急剧增大(爆炸)。
在CFM(continuous flow matching)中的应用:我们会设计一个\(μ_t\)和\(σ_t\),来模拟这个过程的逆过程。简单来说,它的路径不是笔直地飞向终点,而是会走一条特定的曲线。这条曲线的“弯曲度”由这些VE模型的特定参数决定。
Variance Preserving (VP) - 方差保持式
这是最著名的DDPM模型所采用的策略。它在加噪过程中,通过同时缩减信号和增加噪声,使得信号和噪声的总方差大致保持不变(为1)。
在CFM(continuous flow matching)中的应用:我们直接把DDPM的加噪公式拿过来,把时间\(t\)换成\(1-t\)来逆转它,从而定义我们的条件路径参数\(μ_t\)和\(σ_t\)。
\(μ_t = α_{1-t} * x₁\)
\(σ_t = √(1 - α_{1-t}²)\)
路径特点:由于\(α\)本身是\(β\)的累乘,是一个非线性的量,所以均值\(μ_t\)的变化不是线性的,它导致了路径也是弯曲的。
小结:Diffusion思路的好处是理论成熟,可以直接借用已有模型的参数。但缺点是路径较为复杂,可能是“绕路”的。
最优传输条件向量场 (Optimal Transport conditional Vector Fields)
这个思路更加直接和“功利”。它抛弃了复杂的扩散动力学,追求的是从起点分布到终点分布“最经济”、“最直接”的路径。在很多情况下,最经济的路径就是直线。
这对应了我们之前一直作为范例的、最简单的路径设计:
均值 μ_t 的设计:
\(μ_t(x) = t * x₁\)
含义:概率云的中心,从t=0的原点,线性地、笔直地移动到t=1的目标x₁。
标准差 σ_t 的设计:
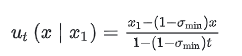
\(σ_t(x) = 1 - (1 - σ_min)t\)
含义:概率云的半径,从\(t=0\)的1,线性地、均匀地收缩到\(t=1\)的\(σ_min\) (一个接近0的数)。
\(σ_min\)是接近0的一个数 但不能等于0 等于0是不可能的,取倒数会变成无穷大
路径的最终形态与速度场:

Flow Map (路径):这个公式表明,任何一个初始噪声点,其运动轨迹都是一条直线。

条件向量场,这是通过Theorem 3计算出的、能驱动上述直线运动的、精确的速度场公式。
最优传输路径轨迹为直线,而扩散路径轨迹为曲线。
因此可以得到更快的训练速度和生成速度,以及更好的性能表现。
这是整个对比的最终结论,也是Flow Matching方法的核心优势之一。
路径更短:直线是两点间最短的路径。模型需要学习的变换总长度更短,收敛可能更快。
目标更简单:学习一个驱动直线运动的速度场,通常比学习一个驱动曲线运动的速度场要更容易。这个学习目标对于神经网络来说更“友好”。
稳定性:直线的路径和线性变化的方差,使得整个训练过程更加稳定可控。
总结:
虽然我们可以从经典的扩散模型中借鉴思路来构建“弯曲”的条件路径,但在Flow Matching的框架下,采用最优传输思想构建的“笔直”路径,往往是更简单、更高效、也更强大的选择。这使得Flow Matching不仅在理论上优雅,在实践中也表现出色。

浙公网安备 33010602011771号