机器学习-线性回归-最大似然估计求解-解析解-01
最大似然估计
已经从某一分布中获取到n个样本 并且假设改样本的分布服从某一个分布f(θ), θ为需要估计的参数,根据这n个样本去推导θ的值 就叫做最大似然估计,假设样本服从某分布,根据样本计算出分布中的参数,参数计算出之后,就能去进行预测,
正态分布概率密度:

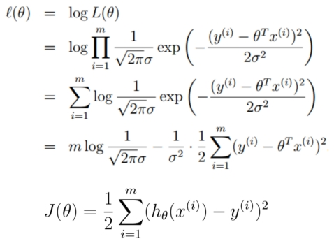
假设样本的误差 服从正态分布 最大似然估计的表达式

目标明确:

取对数转化:


损失函数MSE:

最小二乘MSE min square error换个形式


推导解析解 求导

矩阵求导公式


得到解析解:


浙公网安备 33010602011771号