Splay(权值)
首先介绍一下BST,它的中文名字叫二叉查找树,是一切平衡树的开始。
BST
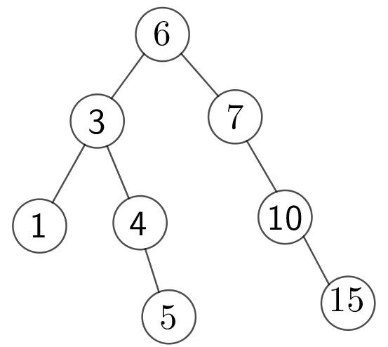
什么是二叉查找树呢?很显然最起码它是一棵树。但是这棵树满足一个性质:一个节点的左儿子一定比他小,右儿子一定比他大。
比如说

对于每次插入,它的期望复杂度是logn级别的,但是存在极端情况,面对999999......1这种情况,会直接被卡成n2
在这种情况下,平衡树出现了。
Splay
百度百科的定义:伸展树(Splay Tree),也叫分裂树,是一种二叉排序树,它能在O(log n)内完成插入、查找和删除操作。
Splay是平衡树的一种,中文名为伸展树,由丹尼尔·斯立特Daniel Sleator和罗伯特·恩卓·塔扬Robert Endre Tarjan在1985年发明的。
它的主要思想是:对于查找频率较高的点,使其处于离根节点相对较近的节点。
这样就可以保证了查找的效率。
如何定义查找效率高的点?
我们姑且认为每次被查询的点频率较高,将每次被查询的点搬到根节点去。
当然,你也可以每次查找之后随机一个点作为根,于是Treaplay这种数据结构就诞生啦
Splay基本操作
rotate
首先考虑一下,我们要把一个点挪到根,那我们首先要知道怎么让一个点挪到它的父节点。
情况一
当X是Y的左儿子
这时候如果我们让X成为Y的父亲,只会影响到3个点的关系
B与X,X与Y,X与R
根据二叉排序树的性质
B会成为Y的左儿子
Y会成为X的右儿子
X会成为R的儿子,具体会成为什么儿子,这个要看Y是R的啥儿子
经过变换之后,大概是这样

情况2
当X是Y的右儿子
本质和上面是一样的

这两种代码单独实现都比较简单
void update(int x){ t[x].size=t[t[x].ch[0]].size+t[t[x].ch[1]].size+t[x].cnt; } inline void rotate(int x){ int y=t[x].ff,z=t[y].ff,k=t[y].ch[1]==x; t[z].ch[t[z].ch[1]==y]=x; t[x].ff=z; t[y].ch[k]=t[x].ch[k^1]; t[t[x].ch[k^1]].ff=y; t[x].ch[k^1]=y; t[y].ff=x; update(y); }
Splay
Splay(x,to)是实现把x节点搬到to节点
最简单的办法,对于x这个节点,每次上旋直到to
这样会卡到O(n2),为什么呢?我们先往下看。
Splay操作规定:每访问一个节点x后都要强制将其旋转到根节点。具体分为六种情况

1.zig:在y是根节点时操作。Splay树会根据x和p间的边旋转。zig存在是用于处理奇偶校验问题,仅当x在splay操作开始时具有奇数深度时作为splay操作的最后一步执行。
直接将x左旋或者右旋(图1,2)
2.zig-zig:在y不是根节点且x和y都是右侧子节点或都是左侧子节点时操作。splay树首先旋转y到其父节点z,再旋转x到其父节点y。
即首先将y左旋或者右旋,然后将x右旋或者左旋(图3,4)
3.zig-zag:在y不是根节点且x和y一个是右侧子节点一个是左侧子节点时操作。splay首先按y和x之间的边旋转,然后按x和z新生成的结果边旋转。
即将x先左旋后右旋,或先右旋再左旋(图5,6)。
int get(int x){ int y=t[x].ff; return t[y].ch[0]==x?1:0; } void splay(int x,int goal){ for(int y=t[x].ff;y=t[x].ff,y!=goal;rotate(x)) if(t[y].ff!=goal) rotate(get(x)==get(y)?y:x); if(goal==0) root=x; update(x); }
请读者尝试自行模拟6种旋转情况,以理解splay的基本思想。
Splay的时间复杂度
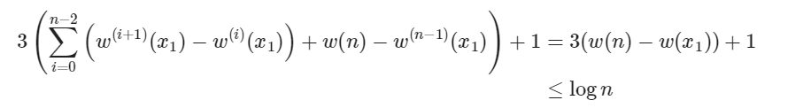
因为zig和zag是对称操作,我们只需对zig,zig-zig,zing-zag操作分析复杂度。采用 势能分析(亲爱的物理),定义一个n个节点的splay树进行了m次splay步骤。可记,定义势能函数为
,在第i次操作后势能为
,则我们只需要求出初始势能和每次势能变化量的和即可。
1.zig:势能的变化量为
1+w'(x)+w'(y)-w(x)-w(y)≤1+w'(y)-w(x)
≤1+w'(x)-w(x)
2.zig-zig:势能变化量为
1+w'(x)+w'(y)+w'(z)-w(x)-w(y)-w(z)≤1+w'(y)-w'(z)-w(x)-w(y)
≤1+w'(x)-w'(z)-2w(x)
≤3(w'(x)-w(x))
3.zig-zag:势能变化量为
1+w'(x)+w'(y)+w'(z)-w(x)-w(y)-w(z)≤1+w'(y)+w'(z)-w(x)-w(y)
≤1+w'(y)+w'(z)-2w(x)
≤2w'(x)-w'(y)-w'(z)+w'(y)+w'(z)-w(x)-w(y)
≤2(w'(x)-w(x))
由此可见,三种splay步骤的势能全部可以缩放为 ≤3(w'(x)-w(x)).令w(n)(x)=w(n-1)(x).令 w(0)(x)=w(x),假设splay操作一次依次访问了x1,x2,···,xn,最终x1成为根节点,我们可以得到:

继而可得:

因此,对于n个节点的splay树,做一次spaly操作的均摊复杂度为O(logn)。因此,基于splay的插入,查询,删除等操作的均摊时间复杂度也为O(logn)。
所谓势能分析是均摊复杂度的一种分析,我认为没有触及本质,我们可以手动模拟单旋与双旋,得出两者的区别:
前者容易构成链,后者容易构成树
find操作
inline void find(int x){//求出x的排名 int u=root; if(!u) return; while(t[u].ch[x>t[u].val]&&x!=t[u].val) u=t[u].ch[x>t[u].val]; splay(u,0); }
insert操作
inline void insert(int x){//插入x int u=root,ff=0; while(u&&t[u].val!=x){ ff=u; u=t[u].ch[x>t[u].val]; } if(u) t[u].cnt++; else{ u=++tot; if(ff) t[ff].ch[x>t[ff].val]=u; t[u].ch[0]=t[u].ch[1]=0; t[tot].ff=ff;t[tot].val=x; t[tot].cnt=1;t[tot].size=1; } splay(u,0); }
前驱/后继操作Next
inline int Next(int x,int f){ find(x); int u=root; if(t[u].val>x&&f) return u; if(t[u].val<x&&!f) return u; u=t[u].ch[f]; while(t[u].ch[f^1]) u=t[u].ch[f^1]; splay(u,0); return u; }
删除操作
inline void Delete(int x){ int last=Next(x,0); int next=Next(x,1); splay(last,0);splay(next,last); int del=t[next].ch[0]; if(t[del].cnt>1) t[del].cnt--,splay(del,0); else t[next].ch[0]=0,splay(next,0); }
第K大
inline int kth(int x){ int u=root; if(t[u].size<x) return 0; while(1){ int y=t[u].ch[0]; if(x>t[y].size+t[u].cnt){ x-=t[y].size+t[u].cnt; u=t[u].ch[1]; } else{ if(t[y].size>=x) u=y; else return splay(u,0),t[u].val; } } }
代码
#include<bits/stdc++.h> #define ls(p) p<<1 #define rs(p) p<<1|1 using namespace std; const int N=3e6+10; struct splay_tree{ int ff,cnt,ch[2],val,size; }t[N]; int root,tot,n,q; int get(int x){ int y=t[x].ff; return t[y].ch[0]==x?1:0; } void update(int x){ t[x].size=t[t[x].ch[0]].size+t[t[x].ch[1]].size+t[x].cnt; } inline void rotate(int x){ int y=t[x].ff,z=t[y].ff,k=t[y].ch[1]==x; t[z].ch[(t[z].ch[1]==y)]=x; t[x].ff=z; t[y].ch[k]=t[x].ch[k^1]; t[t[x].ch[k^1]].ff=y; t[x].ch[k^1]=y; t[y].ff=x; update(y); } void splay(int x,int goal){ for(int y=t[x].ff;y=t[x].ff,y!=goal;rotate(x)) if(t[y].ff!=goal) rotate(get(x)==get(y)?y:x); if(goal==0) root=x; update(x); } inline void find(int x){ int u=root; if(!u) return; while(t[u].ch[x>t[u].val]&&x!=t[u].val) u=t[u].ch[x>t[u].val]; splay(u,0); } inline void insert(int x){ int u=root,ff=0; while(u&&t[u].val!=x){ ff=u; u=t[u].ch[x>t[u].val]; } if(u) t[u].cnt++,t[u].size++; else{ u=++tot; if(ff) t[ff].ch[x>t[ff].val]=u; t[u].ch[0]=t[u].ch[1]=0; t[tot].ff=ff;t[tot].val=x; t[tot].cnt=1;t[tot].size=1; } splay(u,0); } inline int Next(int x,int f){ find(x); int u=root; if(t[u].val>x&&f) return u; if(t[u].val<x&&!f) return u; u=t[u].ch[f]; while(t[u].ch[f^1]) u=t[u].ch[f^1]; splay(u,0); return u; } inline void Delete(int x){ int last=Next(x,0); int next=Next(x,1); splay(last,0);splay(next,last); int del=t[next].ch[0]; if(t[del].cnt>1) t[del].cnt--,t[del].size--,splay(del,0); else t[next].ch[0]=0,splay(next,0); } inline int kth(int x){ int u=root; if(t[u].size<x) return 0; while(1){ int y=t[u].ch[0]; if(x>t[y].size+t[u].cnt){ x-=t[y].size+t[u].cnt; u=t[u].ch[1]; } else{ if(t[y].size>=x) u=y; else return splay(u,0),t[u].val; } } } int main(){ ios::sync_with_stdio(0),cin.tie(0),cout.tie(0); cin>>q; insert(1e9),insert(-1e9); while(q--){ int op,x; cin>>op>>x; if(op==1){ insert(x); } else if(op==2){ Delete(x); } else if(op==3){ find(x); cout<<t[t[root].ch[0]].size<<'\n'; } else if(op==4){ cout<<kth(x+1)<<'\n'; } else if(op==5){ cout<<t[Next(x,0)].val<<'\n'; } else cout<<t[Next(x,1)].val<<'\n'; } return 0; }

浙公网安备 33010602011771号