GNSS定位_UKF
算法描述
根据采样点集计算均值和方差:

采样点集的生成及对应权重的生成:(根据估计量的均值和协方差阵进行生成)


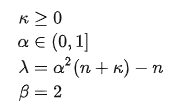
其中,参数满足的条件如下:

流程:

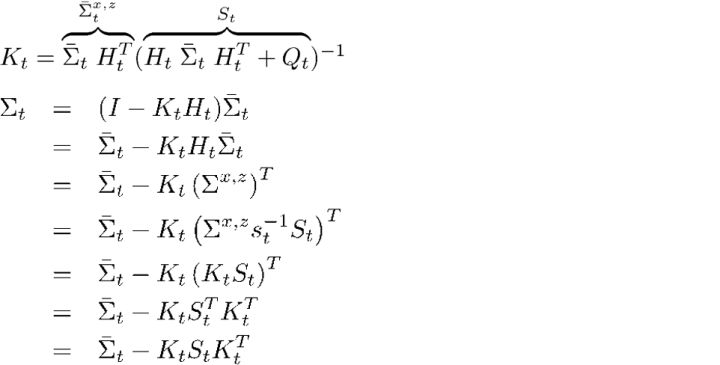
公式推导:

code实现
python code:
结果:
参考链接
记录每天生活的点点滴滴,呵呵呵呵呵呵
根据采样点集计算均值和方差:

采样点集的生成及对应权重的生成:(根据估计量的均值和协方差阵进行生成)


其中,参数满足的条件如下:

流程:

公式推导:

python code:
结果: