C语言I博客作业03
|||
--|:--😐--:
这个作业属于那个课程:|C语言程序设计II
这个作业要求在哪里|作业要求
我在这个课程的目标是|掌握关系运算、if-else语句、格式化输入语句scanf(),以及常用的数学库函数
这个作业在那个具体方面帮助我实现目标|pta的作业使我对if-else语句、格式化输入语句scanf(),以及常用的数学库函数的使用更为熟练,博客作业使我更清楚的总结了自己常犯的错误,这样以后出错的地方会越来越少
参考文献|ACM解题 leecode面试数题网站
1.PTA实验作业(15分/题)
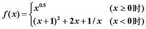
1.1 7-2 计算分段函数[2]
题目描述:本题目要求计算下列分段函数f(x)的值:

注:可在头文件中包含math.h,并调用sqrt函数求平方根,调用pow函数求幂。
1.1.1实验代码截图

1.1.2数据处理
数据表达:
用了变量x,数学库函数,x由题目给出
数据处理:
用了pow函数求幂,然后用scanf()格式语句,最后用if-else语句进行分层
1.1.3 PTA提交列表及说明

Q1:一开始编译错误,可能是代码写得太快了
A1:后来发现return写错了,少了个r,找了几遍发现,诶这个return怎么没变颜色,才发现错误的,比较粗心
Q2:后来出现答案错误,原因是int型和double型所对应的格式说明没搞清楚
A1:后来是经过翻书才解决的问题,最后终于得到了答案正确
1.2 7-3 超速判断
题目描述:模拟交通警察的雷达测速仪。输入汽车速度,如果速度超出60 mph,则显示“Speeding”,否则显示“OK”。
1.2.1实验代码截图

1.2.2数据处理
数据表达:
用了变量v,数学库函数,v由题目给出
数据处理:
用了scanf()格式语句和if-else语句进行分层
1.2.3 PTA提交列表及说明

Q1:开始的编译错误跟前一题的一样,还是return写错了
A1:找了半天发现r写成了e,可能是写的头有点晕
Q2:然后答案错误又来了,原因是Speeding,我以为写成S也行,把题目意思理解错了吧
A2:当时就头很大,找了很久,改了很多还是个部分错误,最后同学指正我才改过来得到了答案正确,我也很无奈
1.3 7-6 三天打鱼两天晒网
题目描述:中国有句俗语叫“三天打鱼两天晒网”。假设某人从某天起,开始“三天打鱼两天晒网”,问这个人在以后的第N天中是“打鱼”还是“晒网”?
1.3.1实验代码截图

1.3.2数据处理
数据表达:
用了变量N和x,变量N,x都是自己设的
数据处理:
用了scanf()格式语句和is-else语句进行分层,还有使用了求余数的公式x=N%5
1.3.3![]()
Q1:开始部分正确,结果被我改成了编译错误
A1:经过反复反复的检查,发现还是最基本的错误,粗心,单词写错了
Q2:到后来又回到了部分正确,😂,改到最后变成了运行时错误
A2:感觉自己快晕了,就问了同学,原来是int用成了double
2.阅读代码(-5——5分)
字母旋转游戏
给定两个整数M,N,生成一个M*N的矩阵,矩阵中元素取值为A至Z的26个字母中的一个,A在左上角,其余各数按顺时针方向旋转前进,依次递增放置,当超过26时又从A开始填充。


#include
因为看不懂,所以在网上查找了很多,该题也用了char类型赋值,cin对应iostream指m,n为标准输入。i++代表的是i=i+1用map判断,while进行循环满足题意,if进行分层。还是有挺多地方看不懂,会把自己看懂的记得跟牢固的,没看懂的以后也会学懂的,上网查的也会吸收消化的。
3.学习总结(15分)
3.1 学习进度条
||
--|:--😐:--😐:--😐--:
周/日期|这周所花的时间|代码行|学到的知识点简介|目前比较迷惑的问题
10/7-10/13|12h|92|if-else语句、格式化输入语句scanf(),以及常用的数学库函数的使用|很多记不住,总是粗心
3.2 累积代码行和博客字数

3.3 学习感悟
本周作业的完成实属不易啊,不论是PTA还是博客的要求,都有一定的难度,很高兴,我还是及时的完成了,虽然不知道自己能得多少分,但是真的觉得自己这一周的收获挺大的;
PTA从刚开始的看不懂,到最后全都搞懂和全都完成,也是翻了挺多遍书的;
博客也是请教了室友。
完成作业跟看书和认真听课也是息息相关的,如果我认认真真听了课,也就不至于花这么多时间了。


浙公网安备 33010602011771号