日志采集 Agent 性能大比拼——LoongCollector 性能深度测评
作者:阿柄
背景
在数字化转型加速的今天,日志数据已成为企业运维、安全分析和业务决策的核心资产。然而,随着云计算、容器化和微服务架构的普及,传统日志采集 Agent 面临着前所未有的挑战:海量日志的实时采集需求、资源占用与成本控制的平衡难题。
iLogtail 作为阿里巴巴自主研发的高性能日志 Agent,凭借其稳定的性能和丰富的功能,长期服务于阿里云数百万用户,成为企业级日志管理系统的基石。它以低延迟、高吞吐和轻量级资源占用著称,尤其在大规模集群环境中表现卓越。然而,随着技术演进和用户需求升级,日志采集场景的复杂性与性能要求进一步提升,对工具的极致性能、灵活性和智能化提出了更高要求。
正是在这种背景下,LoongCollector 应运而生。作为 iLogtail 的下一代演进产品,它不仅继承了 iLogtail 的稳定性和可靠性,更通过全栈架构优化实现了性能的跨越式提升。
为了展现 LoongCollector 的卓越性能,本文通过纵向(LoongCollector 与 iLogtail 产品升级对比)和横向(LoongCollector 与其他开源日志采集 Agent 对比)两方面对比,深度测评不同采集 Agent 在常见的日志采集场景下的性能。
参与本次的横评的日志采集器如下,版本均采用本文撰写时的最新版本:


纵向对比——LoongCollector 自我升级,超越巅峰 80%
iLogtail 已经具备相当强的日志采集能力,而作为 iLogtail 的升级演进产品,LoongCollector 则不能逊色。我们首先对比一下 LoongCollector 与 iLogtail 的极限性能。
基于真实业务场景,我们设计了五种典型日志采集与解析场景(包括单行、多行、正则解析、Json 解析和分隔符解析),并在同等硬件环境下,实测对比两者的极限吞吐量表现。
环境
机器配置:阿里云 ECS 32C64G
操作系统:Ubuntu 22.02
网络:VPC 内网
不同解析场景下的数据源
注意:日志长度对性能测试的绝对数值影响很大,因此我们选取了两种不同长度的日志进行测试。
极简单行日志:长度为 128B
多行日志:长度为 512B,行首匹配长度为 1,每组多行日志包含了 23 行
复杂正则日志:长度为 512B,日志内容模拟真实的业务日志
[2025-04-03 10:02:06.561793] [info] [131172] /root/stdout-test/server_stdout.go:165 log:ZQsC8JI2l9M6Zum1b09V8QZy7MBk8fI01kmg12XqfHXWxdD4SBYUdGKRH4iRCcjIVIOAXmv8I0TgQlJKtwYxAhJR9O2N1BEirA1v01IqWyGaVsxCxRjCpvhkWQ03wW3CnKUCLCndugLfWYsxiYMJs7YiqYhOlCglTj4XdUQqlOfZTrYdyFNX3fVQk9jwBAO5NEBUAo0VgL7rt86lENPr5wA1UQWNdj2id00ByhsBakCjyRP9tvxDVrTSEq5oEVowKYBYzcjJCK1q56MVDm1BhSfNGrLQifr3nYv5Z8yu1d8EAjK9iQGjVqLxz65IozXKyf40R2TZYR9TS2GAMxMyC7uIvZiMh0TRB4rQL4K4uFeOVkFMGrHG3a3GanWJyrr4wBvFh2ehKh98EGOxo3x7ZVAm3Hz
复杂 Json 日志:长度为 512B,日志内容与正则解析类似,调整为 Json 格式
复杂分隔符日志:长度为 512B,日志内容与正则解析类似,调整为 | 分隔格式
测试流程
-
添加采集配置,采集日志文件到 SLS logstore 中(同地域,通过内网传输,避免网络导致的性能瓶颈)
-
启动日志生成进程,重复向日志文件中写入数据(最高写入流量 1100MB/s)
-
SLS logstore 查询统计流量
-
计算采集一分钟之后的流量均值

除此之外,我们还对比了 LoongCollector 和 iLogtail 在不同日志量级下进行极简单行日志采集时的资源占用情况,测试流程如下:
-
添加采集配置,采集日志文件到 SLS logstore 中
-
调整不同的日志的生成速率,启动日志生成进程,重复向日志文件中写入数据
-
SLS logstore 查询统计流量
-
稳定采集一分钟之后,计算两分钟内的 CPU 和内存使用均值
测试结果
极限性能


从表一中我们可以看到,LoongCollector 在五个常见的日志采集场景下的极致吞吐量都远远高于 iLogtail。尤其是在多线程的情况下,iLogtail 的性能随着处理线程数的增加,所带来的收益逐渐减少。而 LoongCollector 通过一系列优化,减少了多线程进行处理时的锁竞争问题,使得 LoongCollector 能够突破更高的吞吐量极限。
资源占用


从表二中我们可以看到,LoongCollector 和 iLogtail 在不同日志量级下的变化。
在 CPU 方面,LoongCollector 通过使用更低的 CPU,却能够采集比 iLogtail 高一倍的日志流量,展现了强劲的性能优势。
在内存方面,LoongCollector 在低流量下的表现与 iLogtail 相比优势差距不大。这主要是由于 LoongCollector 内部新增一些非数据面,而与稳定性相关的功能,例如更健壮的自监控等等。但随着流量的升高,LoongCollector 的内存增长幅度远低于 iLogtail,体现了 LoongCollector 优秀的内存管理。
从趋势来看,我们可以明显发现 LoongCollector 的 CPU 使用率基本上随着流量呈线性增长,而 iLogtail 的 CPU 使用率则呈现了一定的膨胀。两者之间的差距越来越大。核心原因在于 LoongCollector 通过复用对象池、优化序列化等技术,尽可能减少了数据在 Pipeline 中的重复计算和复杂度。
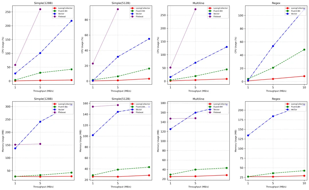
横向对比——LoongCollector 业界领先,10 倍吞吐,20% 开销
LoongCollector 与自身相比性能存在显著进步的同时,与其他开源 Agent 相比,也保持了持续的领先优势。为了验证 LoongCollector 的采集性能优势,我们选取了其他三种广泛使用的日志采集 Agent:FluentBit、Vector 和 Filebeat 进行端到端的对比。
为了对比的公平性,我们对实验进行了如下的几点设置:
- 为了验证端到端的采集性能,我们以完整的日志采集解决方案作为对比。
a. 方案一:LoongCollector 采集日志到 SLS Logstore 中。
b. 方案二:开源组件,其他开源采集 Agent 采集到 Kafka 中。
-
为了避免网络和存储端影响测试结果,所有 Agent 均通过 VPC 内网发送数据,存储分区数均提前扩容。
-
除了调整流控限制之外,所有 Agent 均采用默认的参数配置。
另外,测试流程与数据源与上一章相同,保证资源占用监控的公平性。
测试结果
极限性能


1. 性能优势:其他日志采集器,在默认配置时,性能均无法满足 50MB/s 的采集速度,与 LoongCollector 形成了显著的差距。
2. 处理能力:大多数日志采集 Agent 都提供了一定的日志处理能力。但各方对于处理能力的思考有所不同。例如,Filebeat 在之前旧版本支持通过 grok 进行类似正则解析提取字段,但在新版本中移除了该插件。核心原因在于 Filebeat 在 ELK 体系中更加定位为单纯的采集器,处理能力则交给了下游的 Logstash 或者存储端。
资源占用


从测试结果中,我们可以看到 LoongCollector 在资源占用方面遥遥领先于其他采集 Agent,特别是随着日志流量的增大,这种领先优势更加明显。在这些结果中,我们还可以发现很多有意思的现象:
-
日志长度的影响:Vector 和 Filebeat 在采集 128B 极简单行日志时,表现反而不如多行日志。而所有 Agent 在采集 512B 的日志时性能都优于 128B,说明相同流量下,日志长度越短,数量越多,给采集带来的压力越大。但 LoongCollector 所出现的膨胀要远远低于其他采集 Agent。
-
编码限制:LoongCollector 使用 Protobuf 序列化数据发往 SLS,其余的采集 Agent 则采用了 plain 编码。从 CPU 层面来看,LoongCollector 在额外多了一次序列化的情况下,仍然能够保证明显的优势。
特殊情况:Vector 在进行正则解析,并发送数据至 Kafka 时,plain text 编码仅支持选取一个字段,无法表达正则解析后的多个字段。所以,在测试中使用了 JSON 编码,但导致了最终写入 Kafka 的流量膨胀了两倍。
展望
在日志采集领域,性能始终是衡量工具价值的核心标尺。通过与 iLogtail 的纵向对比,我们见证了 LoongCollector 在资源利用率、吞吐量和稳定性上的跨越式提升——它不仅继承了 iLogtail 的高效基因,更以更低的 CPU 占用和更高的日志处理并发能力,重新定义了日志采集的性能基准。而横向对比中,LoongCollector 更以实测吞吐量超主流开源工具 3 倍以上的硬核数据,强势登顶日志采集性能榜单。
除此之外,LoongCollector 不仅仅一个日志采集 Agent,更是一个全面的可观测数据采集 Agent,支持 metric、trace 等多种数据类型,Prometheus、eBPF 等数据源。在这些方面,LoongCollector 相较于其他开源项目,也存在着一定的优势。
未来,LoongCollector 将持续进化,以更强大的性能和更开放的生态,助力企业释放数据价值。
浙公网安备 33010602011771号