计算方法题型总结
总结计算方法的各种题型,便于记忆(个人用)
题型总结
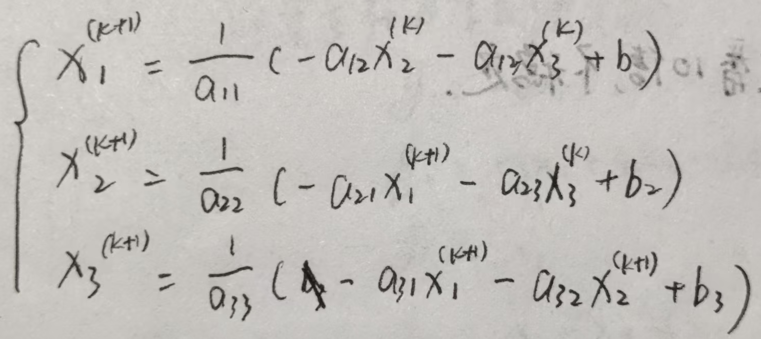
高斯-赛德尔元素法
增广矩阵,将原矩阵化为上三角矩阵,求解
高斯-赛德尔迭代
证明:严格对角占优



雅各比迭代
同高斯-赛德尔迭代,只不过等号右边全部使用原先的值
拉格朗日插值

牛顿插值

牛顿迭代
原方程和二次方程在某点的值大于0可以从那个点开始迭代

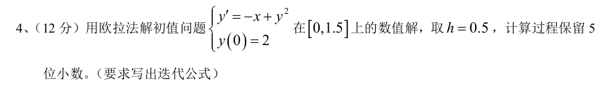
欧拉法


改进的欧拉法也叫预-教欧拉法
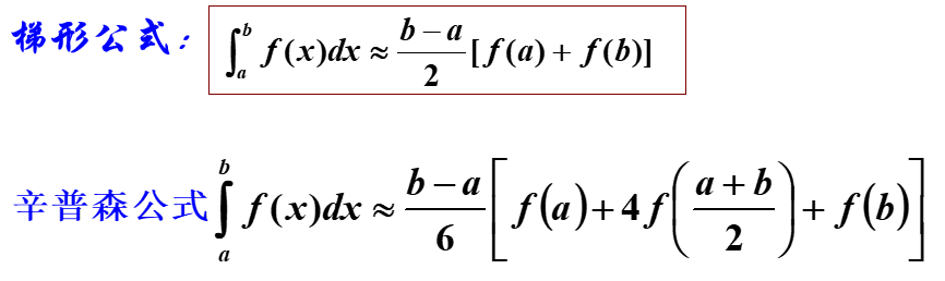
梯形/辛普森公式

复化梯形/辛普森求积


截断误差:
复化辛普森

复化梯形

代数精度

分解方法
A=LU:也叫直接分解法
A=TM:也叫克劳斯特分解法
A=GGT:也叫平方分解法
A=LDLT:也叫改进平方根法


矩阵范数

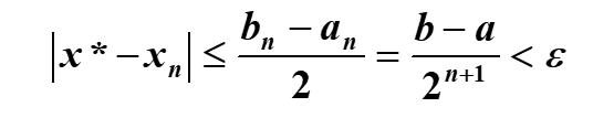
二分精度公式

一般迭代法

分段线性插值
分段线性插值就是把相邻的两个数据点用直线连接起来(两个点之间做拉格朗日插值,然后写成分段函数的形式)
谱半径
最大的特征值

浙公网安备 33010602011771号