矩阵分析题型总结
总结矩阵分析的各种题型,便于记忆(个人用)
总结来说,今年的题型大概率也是这几种:
- 矩阵函数求导(很多题型)
- 矩阵范数(行、列、m1、m00、F)
- 标准正交基+过渡矩阵
- Smith标准型、约当标准型、(代数几何)重复度、(初等不变)因子
- 最大秩分解、伪逆矩阵
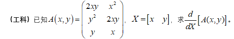
题型一(矩阵导数)

题型二(标准正交基)

题型三(各种矩阵范数)

题型四(Smith标准型、约当标准型、代数.几何重复度、不变.初等因子、最小多项式)

最小多项式=最后一个不变因子
题型五(最大秩分解、伪逆矩阵、方程组通解.LNLS解)




浙公网安备 33010602011771号