前向传播(FP)和反向传播算法(BP)
前向传播和反向传播是神经网络训练过程中两个重要的环节,分别决定了预测的最终结果以及权重参数的调整
案例引入
假设有神经网络如下图所示:

- 第一层是输入层,包含两个神经元i1,i2和截距项b1
- 第二层是隐含层,包含两个神经元h1,h2和截距项b2
- 第三层是输出o1,o2,每条线上标的wi是层与层之间连接的权重,激活函数我们默认为sigmoid函数。
其中,
- 输入数据
i1=0.05,i2=0.10 - 输出数据
o1=0.01,o2=0.99 - 初始权重
w1=0.15,w2=0.20,w3=0.25,w4=0.30;w5=0.40,w6=0.45,w7=0.50,w8=0.55
问:如何调整参数wi,使得输入数据经过神经网络得到的输出尽可能和真实输出值接近?
答:
1、输入数据,使用当前 wi 参数值计算得到一轮输出值,与真实值对比,并计算误差;
2、利用求导的链式法则,从输出到输入分别计算各 wi 参数的偏导数,并利用误差公式更新各 wi 参数值
3、重复上述操作,直至输出值与真实值接近
简单来说,前向传播就是往机器里面输入数据,跑出来结果;反向传播就是修改机器里的零件,使得前向传播输出的值更接近真实值。下面通过三个小标题的内容依次讲解
1. 前向传播
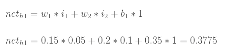
- 输入层---->隐含层:
-
计算神经元h1的输入加权和

-
神经元 h1 的输出 o1:(此处用到激活函数为 Sigmoid 函数)

-
同理,可计算出神经元 h2 的输出 o2

- 隐含层---->输出层:
-
计算 o1 和 o2 的值


-
输出值为 [0.75136079 , 0.772928465],与实际值 [0.01 , 0.99] 仍有差距
2. 反向传播
-
计算总误差
-
这里我们选用均方误差(MSE)




- 输出层---->隐含层:
-
以权重参数 w5 为例,求 w5 对整体产生的影响,可以用整体误差对 w5 求偏导(链式法则)

-
下面来分别计算这三个偏导数
-
Etotal 对 outo1 的偏导数

-
outo1 对 neto1 的偏导数

-
neto1 对 w5 的偏导数

-
将三者相乘

-
将上面三个公式合并:

-
为表达方便,用 \(\delta\)(o1) 表示输出层的误差

-
整体误差对 w5 的偏导(输出层误差记为负)

-
更新 w5 的值

(其中,\(\eta\) 是学习速率,这里我们取0.5) -
同理,更新 w6 w7 w8

- 隐含层---->输入层:
-
与 w5 参数的计算略有不同,w1 参数除了要接受 E(o1) 传来的的误差,还要接受 E(o2) 传来的的误差

-
E(total) 对 out(h1) 的偏导数

-
E(o1) 对 out(h1) 的偏导数

// TODO 此处是否还需计算 E(o1) 对 out(o1) 的偏导?



-
同理,E(o2) 对 out(h1) 的偏导数

-
两者相加可得

-
out(h1) 对 net(h1) 的偏导

-
net(h1) 对 w1 的偏导

-
三者相加

-
为了简化,用 \(\delta\)(h1) 表示隐含层单元 h1 的误差

-
更新 w1 权值

-
更新 w2 w3 w4 的权值

3. 重复
- 重复上述前向传播、反向传播操作,直到输出值与真实值的误差到达可接受范围
- 需要代码学习的同学可参考这篇文章“反向传播算法”过程及公式推导(超直观好懂的Backpropagation)
参考资料:
一文弄懂神经网络中的反向传播法——BackPropagation
“反向传播算法”过程及公式推导(超直观好懂的Backpropagation)
个人学习用,侵权删

浙公网安备 33010602011771号