SciTech-Mathmatics-Mathmatical Analysis-Series:Taylor Series Approxmation:特例$\large ln(1+x)$ + 收敛半径: 几何级数 + Abel的边界 + Julia(茱莉亚)集合 + 分形几何
SciTech-Mathmatics-Mathmatical Analysis-Series
Taylor Series Approxmation:特例\(\large ln(1+x)\) + 收敛半径
: 几何级数 + Abel的边界 + Julia(茱莉亚)集合 + 分形几何
阿贝尔的边界,朱利亚集,以及那些莫名的美丽
https://v.douyin.com/iPSLWsjs/

![]() |
![]() |
![]() |
![]() |
得到: 
“几何级数”收敛是有条件的: 只有当\(\large |x| < 1,\ 即 x \in (-1, +1)\) , 这个级数才有意义。
如果我们把 \(\large x\) 看成是复数, 那么我们可以把"前n项级数加总得到的级数总和点画出来":
![]() |
![]() |
Abel 的收敛半径
![]() |
![]() |
![]() |
![]() |
![]() |
![]() |
![]() |
![]() |
![]() |
![]() |
![]() |
![]() |
![]() |
![]() |
![]() |
![]() |
![]() |
![]() |
![]() |
![]() |
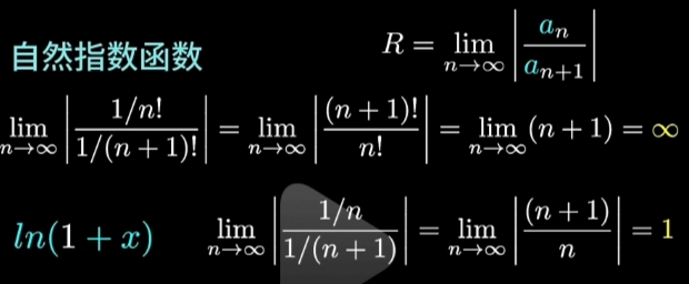
达郎贝尔 审敛法
![]() |
![]() |
![]() |
|
![]() |
![]() |
![]() |
|
![]() |
![]() |
![]() |




































浙公网安备 33010602011771号