SicTech-Math-Stolz-Cesaro Theorem + L'Hopital Rule
https://math.stackexchange.com/questions/109069/stolz-cesàro-theorem?noredirect=1
https://planetmath.org/proofofstolzcesarotheorem
https://math.stackexchange.com/questions/2441678/understanding-part-of-a-proof-for-stolz-cesaro-theorem
Stolz-Cesaro Theorem
a discrete version of L'Hopital Rule
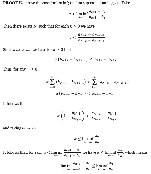
Proof 1 of Stolz-Cesaro theorem



Proof 2 of Stolz-Cesaro theorem

Stolz-Cesaro theorem
https://brilliant.org/wiki/stolzcesaro-theorem/





浙公网安备 33010602011771号