SPJ 的解析几何日记 4 —— 三次比四次求值域
来自集英苑公众号最近分享的一道题。
由于我懒得码 \(\LaTeX\)(以及没时间),以后这个系列采取小部分 \(\LaTeX\) + 大部分手写的形式。
题面

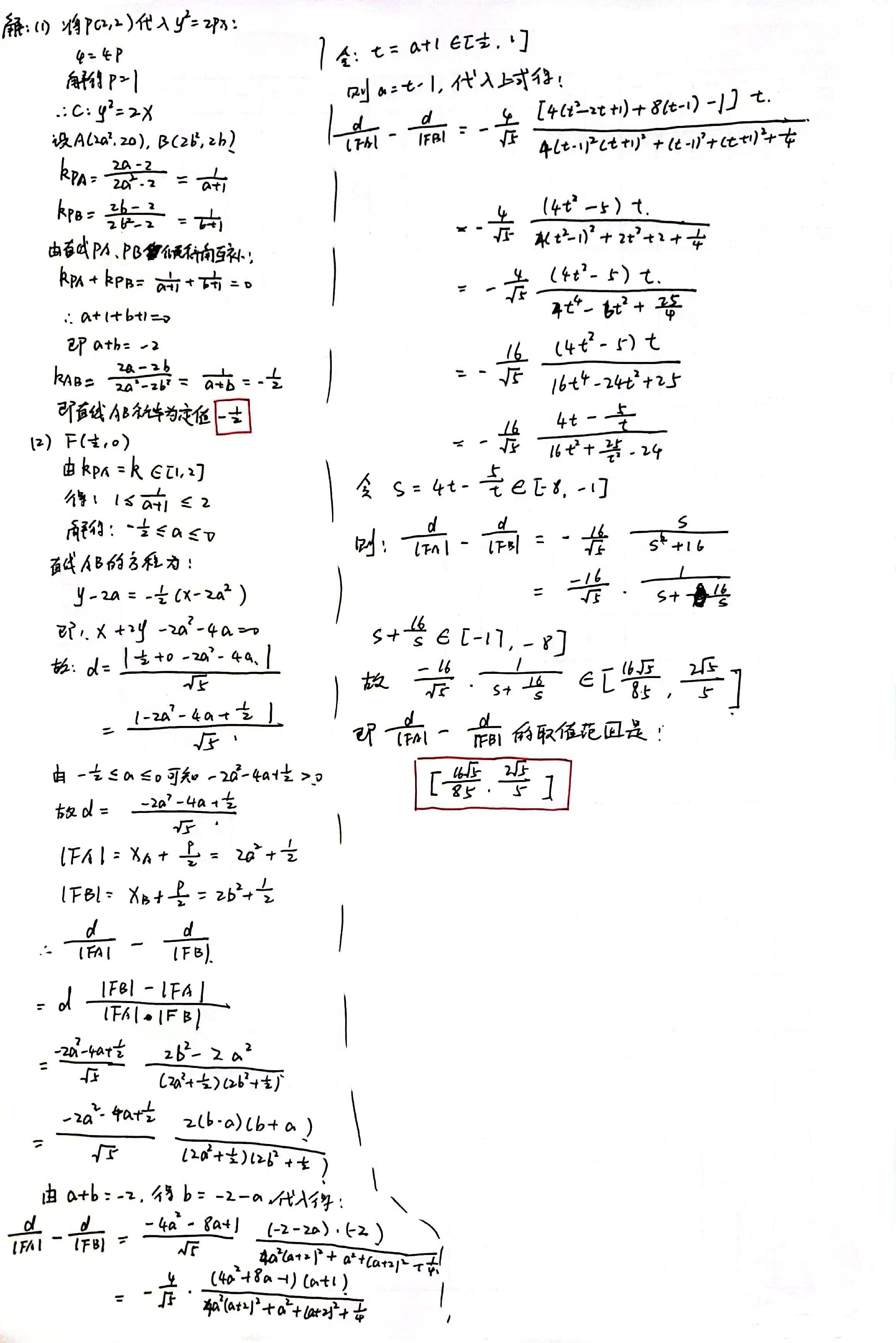
solution

第一问不必多说,平推过去就行。第二问将原式化为以 \(a\) 为自变量的单元函数的过程也不困难,关键就在于最值的处理。这个关于 \(a\) 的式子分子有三次到零次的所有项,分母有四次到零次的所有项,难以直接处理,求导也是几乎不可行的。所以很显然我们需要一定的换元。我们熟知有一种三次比四次的最值是比较好处理的:
\[\frac{(k^2+1)k}{k^4+k^2+1}=\frac{k+\frac{1}{k}}{k^2+\frac{1}{k^2}+1}
\]
然后可以换元 \(t=k+\dfrac{1}{k}\),就变成简单的一次比二次了。
现在观察我们得到的式子:
\[\frac{(4a^2+8a-1)(a+1)}{4a^2(a+2)^2+a^2+(a+2)^2+\frac{1}{4}}
\]
如果我们直接展开分母,就完全无法下手了,注意到分子有一个一次式 \(a+1\),同时分母的 \(a,a+2\) 这两个式子的平均又正好是 \(a+1\),因此我们考虑换元 \(t=a+1\) 就有可能得到一个更加好看的式子。而事实也确实如此,我们换元过后分子的二次项和常数项消掉了,分母的三次项、一次项也消掉了,按照上面提到的方法处理即可。
本题也有一个几何解法,此处不作提及。

浙公网安备 33010602011771号