二叉搜索树(BST)
① 为什么要有二叉搜索树?
当我们用有序数组查找元素时,使用二分查找,复杂度是 O(log n) 的。
当我们在其中插入元素或删除时,复杂度是 O(n) 的。
针对这个问题,就有了二叉搜索树的存在。
② 什么是二叉搜索树?
首先明确二叉搜索树存在的目的:以 O(log n) 的复杂度高效地维护查找、插入、删除的操作。
二叉搜索树的特点:对于任意节点,左子树 < 根节点 < 右子树。
通俗的讲,对于每个节点,其左子树的任意一个节点均小于该节点,其右子树的任意一个节点均大于该节点。
不难发现,二叉搜索树存在的三点性质:
- 对于具有这样特点的树进行中序遍历,得出的序列必然是有序的。因为,中序遍历就是按照左子树、根、右子树的顺序依次进行的。
- 二叉搜索树的左右子树均是二叉搜索树。
- 二叉搜索树的最小值为其左链的顶点,最大值为其右链的顶点。
特殊地,空树是二叉搜索树。
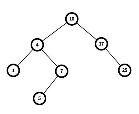
下图是一个典型的二叉搜素树:

class BST {
public:
ll key;
BST* ls, rs;
BST (ll v) {
: key (v), ls (nullptr), rs (nullptr) {}
}
};
// 遍历操作
void inor (BST* u) {
if (u == nullptr) {
return;
}
inor (u -> ls);
printf ("%lld", u -> key);
inor (u -> rs);
}
// 最值查询操作
ll find_min (BST* u) {
if (u == nullptr) {
return -1;
}
while (u -> ls != nullptr) {
u = u -> ls;
}
return u -> key;
}
ll find_max (BST* u) {
if (u == nullptr) {
return -1;
}
while (u -> rs != nullptr) {
u = u -> rs;
}
return u -> key;
}
③二叉搜索树的查找
根据二叉搜索树的性质和特点,不难得到以下操作:
从根节点开始查找元素 x,与当前节点对比,(令当前节点元素为 v)若 x < v,在其左子树继续查找;若 x > v 在其右子树继续查找。
重复上述操作,直至找到 x 或查询到叶子节点(即没有元素 x)。
在搜索树均衡的情况下,查找操作的复杂度是 O (log n) 的。
bool search (BST* u, ll x) {
if (u == nullptr) {
return false;
}
if (u -> key == x) {
return true;
} else if (x < u -> key) {
return search (u -> ls, x);
} else {
return search (u -> rs, x);
}
}
④二叉搜索树的插入
以 u 为根节点的二叉搜索树中插入一个值为 x 的节点。
分类讨论:
若 u 为空, 直接新增节点。
(令 u 的值为 v)若 v > x,在 u 的左子树中继续执行插入操作。
(令 u 的值为 v)若 v < x,在 u 的右子树中继续执行插入操作。
此处不考虑有重复元素的情况。
在搜索树均衡的情况下,查找操作的复杂度是 O (log n) 的。
BST* insert (BST* u, ll v) {
if (u == nullptr) {
return new BST (v);
}
if (v < u -> key) {
u -> ls = insert (u -> ls, v);
} else if (v > u -> key) {
u -> rs = insert (u -> rs, v);
}
return u;
}
⑤二叉搜索树的删除
以 u 为根节点的二叉搜索树中插入一个值为 x 的节点。
令 u 的值为 v,分类讨论:
若 u 为叶子节点,直接删除该节点。
若 u 为链节点,即只有一个儿子的节点,返回这个儿子。
若 u 有两个非空子节点,用其左子树的最大值(即做最靠右的节点)或右子树的最小值(即做最靠左的节点)。
对于第 3 个情况稍加解释,根据二叉搜索树的第 1 条性质:对于具有这样特点的树进行中序遍历,得出的序列必然是有序的。我们不难得到这个序列,而第 3 种情况就是找到该节点在这个序列中的 直接前驱(前者) 或 直接后继(后者)
BST* remove (BST* u, ll v) {
if (u == nullptr) {
return u;
}
if (v < u -> key) {
u -> ls = remove (u -> ls, v);
} else if (v > u -> key) {
u -> rs = remove (u -> rs, v);
} else {
if (u -> ls == nullptr) {
BST* tmp = u -> rs;
delete u;
return tmp;
} else if (u -> rs == nullptr) {
BST* tmp = u -> rs;
delete u;
return tmp;
} else {
BST* s = find_min (u -> rs);
u -> key = s -> key;
u -> rs = remove (u -> rs, s -> key);
}
}
return u;
}

浙公网安备 33010602011771号