小白都能看懂的softmax详解
小白都能看懂的softmax详解
一、总结
一句话总结:
softmax把一些输入映射为0-1之间的实数,并且归一化保证和为1,因此多分类的概率之和也刚好为1
二、小白都能看懂的softmax详解
转自或参考:小白都能看懂的softmax详解
https://blog.csdn.net/bitcarmanlee/article/details/82320853
1.softmax初探
在机器学习尤其是深度学习中,softmax是个非常常用而且比较重要的函数,尤其在多分类的场景中使用广泛。他把一些输入映射为0-1之间的实数,并且归一化保证和为1,因此多分类的概率之和也刚好为1。
首先我们简单来看看softmax是什么意思。顾名思义,softmax由两个单词组成,其中一个是max。对于max我们都很熟悉,比如有两个变量a,b。如果a>b,则max为a,反之为b。用伪码简单描述一下就是 if a > b return a; else b。
另外一个单词为soft。max存在的一个问题是什么呢?如果将max看成一个分类问题,就是非黑即白,最后的输出是一个确定的变量。更多的时候,我们希望输出的是取到某个分类的概率,或者说,我们希望分值大的那一项被经常取到,而分值较小的那一项也有一定的概率偶尔被取到,所以我们就应用到了soft的概念,即最后的输出是每个分类被取到的概率。
2.softmax的定义
首先给一个图,这个图比较清晰地告诉大家softmax是怎么计算的。
(图片来自网络)
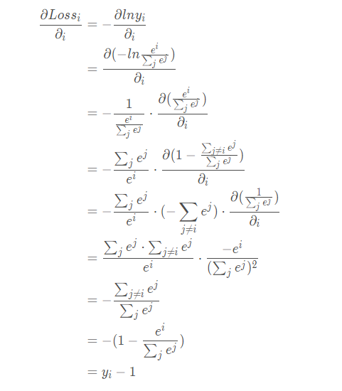
3.softmax求导

接下来开始求导


4.softmax VS k个二元分类器
如果你在开发一个音乐分类的应用,需要对k种类型的音乐进行识别,那么是选择使用 softmax 分类器呢,还是使用 logistic 回归算法建立 k 个独立的二元分类器呢?
这一选择取决于你的类别之间是否互斥,例如,如果你有四个类别的音乐,分别为:古典音乐、乡村音乐、摇滚乐和爵士乐,那么你可以假设每个训练样本只会被打上一个标签(即:一首歌只能属于这四种音乐类型的其中一种),此时你应该使用类别数 k = 4 的softmax回归。(如果在你的数据集中,有的歌曲不属于以上四类的其中任何一类,那么你可以添加一个“其他类”,并将类别数 k 设为5。)
如果你的四个类别如下:人声音乐、舞曲、影视原声、流行歌曲,那么这些类别之间并不是互斥的。例如:一首歌曲可以来源于影视原声,同时也包含人声 。这种情况下,使用4个二分类的 logistic 回归分类器更为合适。这样,对于每个新的音乐作品 ,我们的算法可以分别判断它是否属于各个类别。
现在我们来看一个计算视觉领域的例子,你的任务是将图像分到三个不同类别中。(i) 假设这三个类别分别是:室内场景、户外城区场景、户外荒野场景。你会使用sofmax回归还是 3个logistic 回归分类器呢? (ii) 现在假设这三个类别分别是室内场景、黑白图片、包含人物的图片,你又会选择 softmax 回归还是多个 logistic 回归分类器呢?
在第一个例子中,三个类别是互斥的,因此更适于选择softmax回归分类器 。而在第二个例子中,建立三个独立的 logistic回归分类器更加合适。
参考文献:
1.https://www.zhihu.com/question/40403377
2.http://deeplearning.stanford.edu/wiki/index.php/Softmax回归

浙公网安备 33010602011771号