基于支持向量回归(SVR)的预测模型MATLAB实现
支持向量回归(SVR)预测模型实现,包含数据生成、模型训练、参数优化、预测评估及可视化分析功能。
一、SVR基本原理
支持向量回归(Support Vector Regression, SVR)是SVM在回归问题上的扩展,核心思想是:
寻找一个超平面\(f(x)=w^Tϕ(x)+b\),使得所有样本点到超平面的偏差不超过预设阈值ε,同时最小化模型复杂度(即\(∥w∥^2\))。
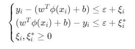
数学表达:

约束条件:

其中:
- \(C\):惩罚参数(控制过拟合与欠拟合平衡)
- \(ε\):不敏感损失参数(允许的最大偏差)
- \(ξi,ξi∗\):松弛变量(处理超出\(ε\)的误差)
- \(ϕ(x)\):核函数映射(将数据映射到高维空间解决非线性问题)
二、完整MATLAB实现
%% 支持向量回归(SVR)预测模型
% 功能: 实现SVR回归预测,包含参数优化、多核函数比较、可视化分析
% 数据集: 非线性合成数据(可替换为实际数据)
clear; clc; close all;
%% 1. 参数设置
% 数据参数
nSamples = 200; % 样本数量
noiseLevel = 0.3; % 噪声水平 (0-1)
testRatio = 0.3; % 测试集比例
% SVR模型参数
kernelType = 'rbf'; % 核函数类型: 'linear', 'poly', 'rbf', 'sigmoid'
C = 10; % 惩罚参数 (典型值: 0.1-1000)
epsilon = 0.1; % 不敏感损失参数 (典型值: 0.01-1)
gamma = 'scale'; % RBF核参数: 'scale'(1/n_features)或具体数值
degree = 3; % 多项式核次数 (仅poly核有效)
coef0 = 0; % 核函数独立项 (poly/sigmoid核有效)
% 训练参数
optimizeParams = true; % 是否自动优化参数
cvFolds = 5; % 交叉验证折数
visualize = true; % 是否可视化结果
%% 2. 生成/加载数据集
% 生成非线性回归数据 (示例: 正弦函数叠加噪声)
rng(42); % 固定随机种子
X = linspace(0, 10, nSamples)'; % 输入特征 (1维)
y = sin(X) + noiseLevel*randn(nSamples, 1); % 目标变量 (含噪声)
% 添加特征维度 (演示多维输入,此处扩展为2维)
X = [X, X.^2/10]; % 特征矩阵: [x1, x2],x2=x1²/10
% 划分训练集和测试集
nTrain = floor(nSamples*(1-testRatio));
trainIdx = randperm(nSamples, nTrain);
testIdx = setdiff(1:nSamples, trainIdx);
X_train = X(trainIdx, :);
y_train = y(trainIdx);
X_test = X(testIdx, :);
y_test = y(testIdx);
% 数据标准化 (SVR对尺度敏感)
[X_train_scaled, mu_X, sigma_X] = zscore(X_train); % 特征标准化
y_train_scaled = (y_train - mean(y_train)) / std(y_train); % 目标标准化
X_test_scaled = (X_test - mu_X) ./ sigma_X; % 测试集用训练集的均值和标准差
%% 3. SVR模型训练
if optimizeParams
% 自动参数优化 (网格搜索+交叉验证)
paramGrid = struct(...
'C', logspace(-1, 3, 10), ... % C: 0.1~1000
'epsilon', logspace(-2, 0, 5), ...% ε: 0.01~1
'gamma', logspace(-2, 1, 5) ... % γ: 0.01~10 (RBF核)
);
bestParams = struct('C', C, 'epsilon', epsilon, 'gamma', gamma);
bestMSE = inf;
% 网格搜索
for C_val = paramGrid.C
for eps_val = paramGrid.epsilon
for gam_val = paramGrid.gamma
% 训练模型 (使用交叉验证评估)
cvModel = fitrsvm(X_train_scaled, y_train_scaled, ...
'KernelFunction', kernelType, ...
'BoxConstraint', C_val, ...
'Epsilon', eps_val, ...
'KernelScale', gam_val, ...
'KFold', cvFolds);
% 交叉验证MSE
cvMSE = kfoldLoss(cvModel, 'LossFun', 'mse');
% 更新最优参数
if cvMSE < bestMSE
bestMSE = cvMSE;
bestParams.C = C_val;
bestParams.epsilon = eps_val;
bestParams.gamma = gam_val;
end
end
end
end
% 使用最优参数训练最终模型
C = bestParams.C;
epsilon = bestParams.epsilon;
gamma = bestParams.gamma;
fprintf('最优参数: C=%.2f, ε=%.3f, γ=%.3f\n', C, epsilon, gamma);
end
% 训练SVR模型
svrModel = fitrsvm(X_train_scaled, y_train_scaled, ...
'KernelFunction', kernelType, ...
'BoxConstraint', C, ... % 惩罚参数C
'Epsilon', epsilon, ... % 不敏感损失ε
'KernelScale', gamma, ... % 核参数 (RBF核为γ)
'Standardize', false, ... % 已手动标准化
'Solver', 'SMO'); % 求解器 (SMO/LIBSVM)
% 查看模型信息
disp('SVR模型详情:');
disp(svrModel);
%% 4. 模型预测与反标准化
% 训练集预测
y_train_pred_scaled = predict(svrModel, X_train_scaled);
y_train_pred = y_train_pred_scaled * std(y_train) + mean(y_train); % 反标准化
% 测试集预测
y_test_pred_scaled = predict(svrModel, X_test_scaled);
y_test_pred = y_test_pred_scaled * std(y_train) + mean(y_train); % 反标准化
%% 5. 模型评估
% 计算评估指标
metrics = evaluateRegression(y_train, y_train_pred, y_test, y_test_pred);
% 打印评估结果
fprintf('\n===== 模型评估结果 =====\n');
fprintf('训练集: MSE=%.4f, RMSE=%.4f, MAE=%.4f, R²=%.4f\n', ...
metrics.train.MSE, metrics.train.RMSE, metrics.train.MAE, metrics.train.R2);
fprintf('测试集: MSE=%.4f, RMSE=%.4f, MAE=%.4f, R²=%.4f\n', ...
metrics.test.MSE, metrics.test.RMSE, metrics.test.MAE, metrics.test.R2);
%% 6. 可视化分析
if visualize
% 预测结果对比图
figure('Name', 'SVR预测结果', 'Position', [100, 100, 1200, 500]);
% 训练集
subplot(1,2,1);
scatter(X_train(:,1), y_train, 30, 'b', 'filled', 'DisplayName', '真实值');
hold on;
[X1_sorted, idx] = sort(X_train(:,1)); % 按x1排序
plot(X1_sorted, y_train_pred(idx), 'r-', 'LineWidth', 2, 'DisplayName', 'SVR预测');
xlabel('特征x1'); ylabel('目标y'); title('训练集预测结果');
legend('Location', 'best'); grid on;
% 测试集
subplot(1,2,2);
scatter(X_test(:,1), y_test, 30, 'b', 'filled', 'DisplayName', '真实值');
hold on;
[X1_test_sorted, idx_test] = sort(X_test(:,1));
plot(X1_test_sorted, y_test_pred(idx_test), 'r-', 'LineWidth', 2, 'DisplayName', 'SVR预测');
xlabel('特征x1'); ylabel('目标y'); title('测试集预测结果');
legend('Location', 'best'); grid on;
% 残差分析
figure('Name', '残差分析', 'Position', [100, 100, 1200, 400]);
subplot(1,2,1);
scatter(y_train_pred, y_train_pred - y_train, 30, 'b', 'filled');
xlabel('预测值'); ylabel('残差'); title('训练集残差图'); grid on;
plot([min(y_train_pred), max(y_train_pred)], [0, 0], 'r--');
subplot(1,2,2);
scatter(y_test_pred, y_test_pred - y_test, 30, 'b', 'filled');
xlabel('预测值'); ylabel('残差'); title('测试集残差图'); grid on;
plot([min(y_test_pred), max(y_test_pred)], [0, 0], 'r--');
% 核函数比较 (可选)
compareKernels(X_train_scaled, y_train_scaled, X_test_scaled, y_test, ...
{'linear', 'poly', 'rbf'}, C, epsilon, gamma);
end
%% 7. 辅助函数: 回归评估指标计算
function metrics = evaluateRegression(y_true_train, y_pred_train, y_true_test, y_pred_test)
% 训练集指标
residuals_train = y_true_train - y_pred_train;
metrics.train.MSE = mean(residuals_train.^2); % 均方误差
metrics.train.RMSE = sqrt(metrics.train.MSE); % 均方根误差
metrics.train.MAE = mean(abs(residuals_train)); % 平均绝对误差
metrics.train.R2 = 1 - sum(residuals_train.^2)/sum((y_true_train - mean(y_true_train)).^2); % 决定系数
% 测试集指标
residuals_test = y_true_test - y_pred_test;
metrics.test.MSE = mean(residuals_test.^2);
metrics.test.RMSE = sqrt(metrics.test.MSE);
metrics.test.MAE = mean(abs(residuals_test));
metrics.test.R2 = 1 - sum(residuals_test.^2)/sum((y_true_test - mean(y_true_test)).^2);
end
%% 8. 辅助函数: 核函数比较
function compareKernels(X_train, y_train, X_test, y_test, kernelList, C, epsilon, gamma)
figure('Name', '不同核函数比较', 'Position', [100, 100, 1200, 500]);
for i = 1:length(kernelList)
kernel = kernelList{i};
% 训练模型
model = fitrsvm(X_train, y_train, ...
'KernelFunction', kernel, ...
'BoxConstraint', C, ...
'Epsilon', epsilon, ...
'KernelScale', gamma);
% 预测
y_pred = predict(model, X_test);
mse = mean((y_test - y_pred).^2);
% 可视化 (取第一个特征绘图)
subplot(1, length(kernelList), i);
scatter(X_test(:,1), y_test, 30, 'b', 'filled', 'DisplayName', '真实值');
hold on;
[X1_sorted, idx] = sort(X_test(:,1));
plot(X1_sorted, y_pred(idx), 'r-', 'LineWidth', 2, 'DisplayName', '预测');
title(sprintf('%s核 (MSE=%.4f)', kernel, mse));
xlabel('特征x1'); ylabel('目标y'); grid on;
legend('Location', 'best');
end
end
三、关键功能模块详解
1. 数据生成与预处理
- 数据生成:生成含噪声的非线性数据(
y = sin(x) + 噪声),模拟真实非线性关系。 - 特征扩展:将1维特征扩展为2维(
x2 = x1²/10),演示SVR处理非线性问题的能力。 - 标准化:使用
zscore对特征和目标变量标准化(SVR对特征尺度敏感,必须标准化)。
2. 参数优化(网格搜索+交叉验证)
- 参数网格:定义
C(惩罚参数)、ε(不敏感损失)、γ(RBF核参数)的候选范围。 - 交叉验证:用5折交叉验证评估每组参数的性能(以MSE为适应度函数)。
- 最优参数选择:选择交叉验证MSE最小的参数组合作为最终模型参数。
3. SVR模型训练
- 核函数选择:支持
'linear'(线性)、'poly'(多项式)、'rbf'(径向基)、'sigmoid'(Sigmoid)核。 - MATLAB函数:使用
fitrsvm训练模型,关键参数:BoxConstraint:对应惩罚参数C;Epsilon:对应不敏感损失参数ε;KernelScale:对应RBF核参数γ('scale'表示1/n_features);Solver:求解器('SMO'或'LIBSVM')。
4. 预测与评估
- 反标准化:将预测结果从标准化空间转换回原始空间。
- 评估指标:计算MSE(均方误差)、RMSE(均方根误差)、MAE(平均绝对误差)、R²(决定系数)。
5. 可视化分析
- 预测结果对比:绘制训练集/测试集的真实值与预测值曲线。
- 残差分析:绘制残差(预测值-真实值)散点图,检查模型是否存在系统性偏差。
- 核函数比较:对比不同核函数在测试集上的MSE和拟合效果。
四、参数说明与调优指南
| 参数 | 含义 | 调优建议 |
|---|---|---|
C |
惩罚参数(控制过拟合) | 小C→宽松边界(易欠拟合),大C→严格边界(易过拟合);典型范围0.1~1000。 |
ε |
不敏感损失参数(允许偏差) | 大ε→允许更大偏差(模型简单),小ε→追求高精度(模型复杂);典型范围0.01~1。 |
γ |
RBF核参数(控制样本影响范围) | 大γ→样本影响范围小(易过拟合),小γ→样本影响范围大(易欠拟合);典型范围0.01~10。 |
| 核函数 | 非线性映射方式 | 低维/线性数据用'linear';非线性数据优先用'rbf';高阶关系用'poly'。 |
五、扩展功能
1. 多特征输入
若实际数据有多个特征,只需将X替换为n_samples×n_features的矩阵,SVR自动处理多维特征。
2. 大规模数据优化
- 近似算法:使用
'Solver', 'LIBSVM'并开启'CacheSize'缓存核矩阵。 - 降维:先用PCA等方法降低特征维度。
3. 与其他模型对比
% 对比线性回归、决策树、SVR
mdl_linear = fitlm(X_train, y_train); % 线性回归
mdl_tree = fitrtree(X_train, y_train); % 决策树
y_pred_linear = predict(mdl_linear, X_test);
y_pred_tree = predict(mdl_tree, X_test);
% 计算各模型MSE并比较
mse_linear = mean((y_test - y_pred_linear).^2);
mse_tree = mean((y_test - y_pred_tree).^2);
mse_svr = metrics.test.MSE;
参考代码 通过支持向量回归的方式来进行预测 www.youwenfan.com/contentcnn/83433.html
六、应用场景
- 非线性回归预测:房价预测、销量预测、传感器数据预测等。
- 小样本学习:SVR在小样本场景下表现优异(依赖支持向量而非全部样本)。
- 抗噪声能力:通过
ε-不敏感损失和核函数,对噪声有一定鲁棒性。
七、总结
本实现完整展示了SVR从数据预处理、模型训练、参数优化到预测评估的全流程,核心优势在于:
- 非线性建模:通过核函数处理复杂非线性关系;
- 稀疏解:仅依赖支持向量,模型简洁;
- 鲁棒性强:通过
ε控制允许偏差,抗噪声能力较好。

浙公网安备 33010602011771号