会员
众包
新闻
博问
闪存
赞助商
HarmonyOS
Chat2DB
所有博客
当前博客
我的博客
我的园子
账号设置
会员中心
简洁模式
...
退出登录
注册
登录
GUOdx
快乐滴程序媛!
博客园
首页
管理
[置顶]
小模板
摘要: 线性基 #include<bits/stdc++.h> using namespace std; #define lson l,m,rt<<1 #define rson m+1,r,rt<<1|1 #define mid int m = (l + r) >> 1 const int M = 1e4+
阅读全文
posted @ 2020-11-19 22:01 GUO_dx
阅读(172)
评论(0)
推荐(0)
2023年6月17日
学术英语作业
摘要: Read the following 4 Figures which show the results of a study. Fig. 1 presents the frequency of eating foods prepared away from home. Fig. 2 and Fig.
阅读全文
posted @ 2023-06-17 22:19 GUO_dx
阅读(39)
评论(0)
推荐(0)
2022年6月30日
编译原理 课设 LL编译器
摘要: #include <iostream> #include <algorithm> #include <cstring> #include <fstream> #include <string> #include <cstdio> #include <vector> #include <iterato
阅读全文
posted @ 2022-06-30 23:05 GUO_dx
阅读(70)
评论(0)
推荐(0)
2022年5月6日
linux调度源代码
摘要: 内核引进了struct task_group结构,如下: /* 进程组,用于实现组调度 */ struct task_group { /* 用于进程找到其所属进程组结构 */ struct cgroup_subsys_state css; #ifdef CONFIG_FAIR_GROUP_SCHED
阅读全文
posted @ 2022-05-06 22:31 GUO_dx
阅读(299)
评论(0)
推荐(0)
2022年4月19日
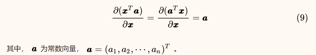
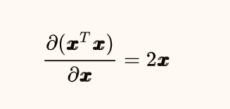
矩阵求导公式大全
摘要:   
评论(0)
推荐(0)
2022年3月27日
CSP 202112-3 登机牌条码 100分题解
摘要: 分析: 一步步按照它的要求来就是了。 多项式除法的过程要手动模拟(有点像高精度)。 一开始我50分,是只对答案取了模没对过程取模。 然后80分,发现3^k其实会爆long long。 注意每一处的细节(要不要取模) 代码 #include <bits/stdc++.h> using namespac
阅读全文
posted @ 2022-03-27 09:16 GUO_dx
阅读(329)
评论(0)
推荐(0)
2022年1月11日
「美团 CodeM 初赛 Round B」送外卖2
摘要: 思路: 题目要求最多能送多少个外卖,不妨转换思路,求怎么在相同的送外卖情况下花最少的时间。 这种解法不仅便于设计程序,而且正确性显然:求出这个状态的最小时间,就越有可能转移到能取最优值的那个状态上面。 于是使用利于理解的记忆化dfs,记录当前点是哪个,各包裹的状态(0/1/2,0表示没动,1表示拿在
阅读全文
posted @ 2022-01-11 16:30 GUO_dx
阅读(134)
评论(0)
推荐(0)
2021年9月15日
模板2
摘要: 求解形如Ax≡B(mod M)的最小正整数解。 il void exgcd(re ll A,re ll B,re ll &D,re ll &x,re ll &y) { if(!B) x=1,y=0,D=A; else exgcd(B,A%B,D,y,x,c),y-=(A/B)*x; } il voi
阅读全文
posted @ 2021-09-15 16:45 GUO_dx
阅读(45)
评论(0)
推荐(0)
2021年9月12日
Code POJ - 1850
摘要: 分析:用数位dp的方法去做,记录好last是啥,然后前面是前导零的话后一位可以选择前导零,前面不是的话后一位不能是前导零。最后判断这个数合不合法。注意一开始lead和limit都是1 code: #include<iostream> #include<cstdio> #include<cmath>
阅读全文
posted @ 2021-09-12 17:18 GUO_dx
阅读(29)
评论(0)
推荐(0)
2021年8月11日
[hdu 6096 String](巧妙建图,AC自动机)
摘要: 题目传送门 题意: 给n个字符串,和q个询问,每个询问给一个前缀和后缀,问你在这n个字符串中有多少个包含这一对前缀和后缀,前缀后缀不能重叠。 题解: 这题有一个巧妙的办法,用AC自动机去跑。 比如待匹配串是abc,abcd,那么我们将它们转换为abc{abc,abcd{abcd, 为什么用'{'呢,
阅读全文
posted @ 2021-08-11 11:40 GUO_dx
阅读(44)
评论(0)
推荐(0)
2021年8月10日
Codeforces 674C Levels and Regions
摘要: 题目大意: 把一段长为n的序列分成k组(每组是连续的一段),然后玩家不停地操作: step 1: 找到第一个没被全灭的组 step 2: 把这个组里灭了的 t[i] 全加起来,然后把新的没被灭的 t[i+1]也加进去 step 3: 最后从Σt中随便选一个,删去它代表的位上的数。意思就是第i+1个数
阅读全文
posted @ 2021-08-10 20:43 GUO_dx
阅读(48)
评论(0)
推荐(0)
下一页