航空公司客户价值分析
# -*- coding: utf-8 -*- """ Created on Wed Mar 8 08:46:51 2023 @author: 86184 """ # 对数据进行基本的探索 # 返回缺失值个数以及最大最小值 import pandas as pd datafile= r'C:\Users\86184\Desktop\文件集\data\air_data.csv' # 航空原始数据,第一行为属性标签 resultfile = r'C:\Users\86184\Desktop\文件集\data\explore.csv' # 数据探索结果表 # 读取原始数据,指定UTF-8编码(需要用文本编辑器将数据装换为UTF-8编码) data = pd.read_csv(datafile, encoding = 'utf-8') # 包括对数据的基本描述,percentiles参数是指定计算多少的分位数表(如1/4分位数、中位数等) explore = data.describe(percentiles = [], include = 'all').T # describe()函数自动计算非空值数,需要手动计算空值数 explore['null'] = len(data)-explore['count'] explore = explore[['null', 'max', 'min']] explore.columns = [u'空值数', u'最大值', u'最小值'] # 表头重命名 explore.to_csv(resultfile) # 导出结果 # 客户信息类别 # 提取会员入会年份 import matplotlib.pyplot as plt from datetime import datetime ffp = data['FFP_DATE'].apply(lambda x:datetime.strptime(x,'%Y/%m/%d')) ffp_year = ffp.map(lambda x : x.year) # 绘制各年份会员入会人数直方图 fig = plt.figure(figsize=(8 ,5)) # 设置画布大小 plt.rcParams['font.sans-serif'] = 'SimHei' # 设置中文显示 plt.rcParams['axes.unicode_minus'] = False plt.hist(ffp_year, bins='auto', color='#0504aa') plt.xlabel('年份') plt.ylabel('入会人数') plt.title('各年份会员入会人数 number3013',fontsize=20) plt.show() plt.close # 提取会员不同性别人数 male = pd.value_counts(data['GENDER'])['男'] female = pd.value_counts(data['GENDER'])['女'] # 绘制会员性别比例饼图 fig = plt.figure(figsize=(7 ,4)) # 设置画布大小 plt.pie([ male, female], labels=['男','女'], colors=['lightskyblue', 'lightcoral'], autopct='%1.1f%%') plt.title('会员性别比例 number3013',fontsize=20) plt.show() plt.close # 提取不同级别会员的人数 lv_four = pd.value_counts(data['FFP_TIER'])[4] lv_five = pd.value_counts(data['FFP_TIER'])[5] lv_six = pd.value_counts(data['FFP_TIER'])[6] # 绘制会员各级别人数条形图 fig = plt.figure(figsize=(8 ,5)) # 设置画布大小 plt.bar(left=range(3), height=[lv_four,lv_five,lv_six], width=0.4, alpha=0.8, color='skyblue') plt.xticks([index for index in range(3)], ['4','5','6']) plt.xlabel('会员等级') plt.ylabel('会员人数') plt.title('会员各级别人数 number3013',fontsize=20) plt.show() plt.close() # 提取会员年龄 age = data['AGE'].dropna() age = age.astype('int64') # 绘制会员年龄分布箱型图 fig = plt.figure(figsize=(5 ,10)) plt.boxplot(age, patch_artist=True, labels = ['会员年龄'], # 设置x轴标题 boxprops = {'facecolor':'lightblue'}) # 设置填充颜色 plt.title('会员年龄分布箱线图 number3013',fontsize=20) # 显示y坐标轴的底线 plt.grid(axis='y') plt.show() plt.close


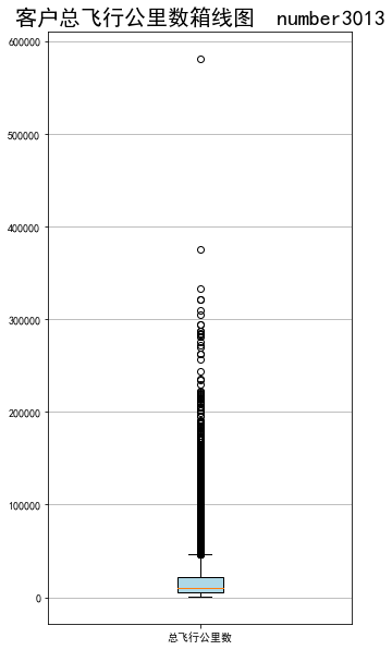
1 lte = data['LAST_TO_END'] 2 3 fc = data['FLIGHT_COUNT'] 4 5 sks = data['SEG_KM_SUM'] 6 7 # 绘制最后乘机至结束时长箱线图 8 9 fig = plt.figure(figsize=(5 ,8)) 10 11 plt.boxplot(lte, 12 13 patch_artist=True, 14 15 labels = ['时长'], # 设置x轴标题 16 17 boxprops = {'facecolor':'lightblue'}) # 设置填充颜色 18 19 plt.title('会员最后乘机至结束时长分布箱线图 number3013',fontsize=20) 20 21 # 显示y坐标轴的底线 22 23 plt.grid(axis='y') 24 25 plt.show() 26 27 plt.close 28 29 # 绘制客户飞行次数箱线图 30 31 fig = plt.figure(figsize=(5 ,8)) 32 33 plt.boxplot(fc, 34 35 patch_artist=True, 36 37 labels = ['飞行次数'], # 设置x轴标题 38 39 boxprops = {'facecolor':'lightblue'}) # 设置填充颜色 40 41 plt.title('会员飞行次数分布箱线图 number3013',fontsize=20) 42 43 # 显示y坐标轴的底线 44 45 plt.grid(axis='y') 46 47 plt.show() 48 49 plt.close 50 51 # 绘制客户总飞行公里数箱线图 52 53 fig = plt.figure(figsize=(5 ,10)) 54 55 plt.boxplot(sks, 56 57 patch_artist=True, 58 59 labels = ['总飞行公里数'], # 设置x轴标题 60 61 boxprops = {'facecolor':'lightblue'}) # 设置填充颜色 62 63 plt.title('客户总飞行公里数箱线图 number3013',fontsize=20) 64 65 # 显示y坐标轴的底线 66 67 plt.grid(axis='y') 68 69 plt.show() 70 71 plt.close



1 # 积分信息类别 2 3 # 提取会员积分兑换次数 4 5 ec = data['EXCHANGE_COUNT'] 6 7 # 绘制会员兑换积分次数直方图 8 9 fig = plt.figure(figsize=(8 ,5)) # 设置画布大小 10 11 plt.hist(ec, bins=5, color='#0504aa') 12 13 plt.xlabel('兑换次数') 14 15 plt.ylabel('会员人数') 16 17 plt.title('会员兑换积分次数分布直方图 number3013',fontsize=20) 18 19 plt.show() 20 21 plt.close 22 23 # 提取会员总累计积分 24 25 ps = data['Points_Sum'] 26 27 # 绘制会员总累计积分箱线图 28 29 fig = plt.figure(figsize=(5 ,8)) 30 31 plt.boxplot(ps, 32 33 patch_artist=True, 34 35 labels = ['总累计积分'], # 设置x轴标题 36 37 boxprops = {'facecolor':'lightblue'}) # 设置填充颜色 38 39 plt.title('客户总累计积分箱线图 number3013',fontsize=20) 40 41 # 显示y坐标轴的底线 42 43 plt.grid(axis='y') 44 45 plt.show() 46 47 plt.close


1 # 提取属性并合并为新数据集 2 3 data_corr = data[['FFP_TIER','FLIGHT_COUNT','LAST_TO_END', 4 5 'SEG_KM_SUM','EXCHANGE_COUNT','Points_Sum']] 6 7 age1 = data['AGE'].fillna(0) 8 9 data_corr['AGE'] = age1.astype('int64') 10 11 data_corr['ffp_year'] = ffp_year 12 13 # 计算相关性矩阵 14 15 dt_corr = data_corr.corr(method='pearson') 16 17 print('相关性矩阵为:\n',dt_corr) 18 19 # 绘制热力图 20 21 import seaborn as sns 22 23 plt.subplots(figsize=(10, 10)) # 设置画面大小 24 25 sns.heatmap(dt_corr, annot=True, vmax=1, square=True, cmap='Blues') 26 plt.rcParams['font.sans-serif'] = ['SimHei'] # 用来正常显示中文标签 27 plt.title('热力图 number3013',fontsize=20) 28 29 plt.show() 30 31 plt.close


1 import numpy as np 2 import pandas as pd 3 4 datafile = r'C:\Users\86184\Desktop\文件集\data\air_data.csv' # 航空原始数据路径 5 cleanedfile = r'C:\Users\86184\Desktop\文件集\data\data_cleaned.csv' # 数据清洗后保存的文件路径 6 7 # 读取数据 8 airline_data = pd.read_csv(datafile,encoding = 'utf-8') 9 print('原始数据的形状为:',airline_data.shape) 10 11 # 去除票价为空的记录 12 airline_notnull = airline_data.loc[airline_data['SUM_YR_1'].notnull() & 13 airline_data['SUM_YR_2'].notnull(),:] 14 print('删除缺失记录后数据的形状为:',airline_notnull.shape) 15 16 # 只保留票价非零的,或者平均折扣率不为0且总飞行公里数大于0的记录。 17 index1 = airline_notnull['SUM_YR_1'] != 0 18 index2 = airline_notnull['SUM_YR_2'] != 0 19 index3 = (airline_notnull['SEG_KM_SUM']> 0) & (airline_notnull['avg_discount'] != 0) 20 index4 = airline_notnull['AGE'] > 100 # 去除年龄大于100的记录 21 airline = airline_notnull[(index1 | index2) & index3 & ~index4] 22 print('数据清洗后数据的形状为:',airline.shape) 23 24 airline.to_csv(cleanedfile) # 保存清洗后的数据

1 import pandas as pd 2 import numpy as np 3 4 # 读取数据清洗后的数据 5 cleanedfile = r'C:\Users\86184\Desktop\文件集\data\data_cleaned.csv' # 数据清洗后保存的文件路径 6 airline = pd.read_csv(cleanedfile, encoding = 'utf-8') 7 # 选取需求属性 8 airline_selection = airline[['FFP_DATE','LOAD_TIME','LAST_TO_END', 9 'FLIGHT_COUNT','SEG_KM_SUM','avg_discount']] 10 print('筛选的属性前5行为:\n',airline_selection.head()) 11 12 13 14 # 代码7-8 15 16 # 构造属性L 17 L = pd.to_datetime(airline_selection['LOAD_TIME']) - \ 18 pd.to_datetime(airline_selection['FFP_DATE']) 19 L = L.astype('str').str.split().str[0] 20 L = L.astype('int')/30 21 22 # 合并属性 23 airline_features = pd.concat([L,airline_selection.iloc[:,2:]],axis = 1) 24 airline_features.columns = ['L','R','F','M','C'] 25 print('构建的LRFMC属性前5行为:\n',airline_features.head()) 26 27 # 数据标准化 28 from sklearn.preprocessing import StandardScaler 29 data = StandardScaler().fit_transform(airline_features) 30 np.savez(r'C:\Users\86184\Desktop\文件集\data\airline_scale.npz',data) 31 print('标准化后LRFMC五个属性为:\n',data[:5,:])

1 import pandas as pd 2 import numpy as np 3 from sklearn.cluster import KMeans # 导入kmeans算法 4 5 # 读取标准化后的数据 6 airline_scale = np.load(r'C:\Users\86184\Desktop\文件集\data\airline_scale.npz')['arr_0'] 7 k = 5 # 确定聚类中心数 8 9 # 构建模型,随机种子设为123 10 kmeans_model = KMeans(n_clusters = k,n_jobs=4,random_state=123) 11 fit_kmeans = kmeans_model.fit(airline_scale) # 模型训练 12 13 # 查看聚类结果 14 kmeans_cc = kmeans_model.cluster_centers_ # 聚类中心 15 print('各类聚类中心为:\n',kmeans_cc) 16 kmeans_labels = kmeans_model.labels_ # 样本的类别标签 17 print('各样本的类别标签为:\n',kmeans_labels) 18 r1 = pd.Series(kmeans_model.labels_).value_counts() # 统计不同类别样本的数目 19 print('最终每个类别的数目为:\n',r1) 20 # 输出聚类分群的结果 21 cluster_center = pd.DataFrame(kmeans_model.cluster_centers_,\ 22 columns = ['ZL','ZR','ZF','ZM','ZC']) # 将聚类中心放在数据框中 23 cluster_center.index = pd.DataFrame(kmeans_model.labels_ ).\ 24 drop_duplicates().iloc[:,0] # 将样本类别作为数据框索引 25 print(cluster_center) 26 27 28 # 代码7-10 29 30 %matplotlib inline 31 import matplotlib.pyplot as plt 32 # 客户分群雷达图 33 labels = ['ZL','ZR','ZF','ZM','ZC'] 34 legen = ['客户群' + str(i + 1) for i in cluster_center.index] # 客户群命名,作为雷达图的图例 35 lstype = ['-','--',(0, (3, 5, 1, 5, 1, 5)),':','-.'] 36 kinds = list(cluster_center.iloc[:, 0]) 37 # 由于雷达图要保证数据闭合,因此再添加L列,并转换为 np.ndarray 38 cluster_center = pd.concat([cluster_center, cluster_center[['ZL']]], axis=1) 39 centers = np.array(cluster_center.iloc[:, 0:]) 40 41 # 分割圆周长,并让其闭合 42 n = len(labels) 43 angle = np.linspace(0, 2 * np.pi, n, endpoint=False) 44 angle = np.concatenate((angle, [angle[0]])) 45 labels = np.concatenate((labels, [labels[0]])) 46 # 绘图 47 fig = plt.figure(figsize = (8,6)) 48 ax = fig.add_subplot(111, polar=True) # 以极坐标的形式绘制图形 49 plt.rcParams['font.sans-serif'] = ['SimHei'] # 用来正常显示中文标签 50 plt.rcParams['axes.unicode_minus'] = False # 用来正常显示负号 51 # 画线 52 for i in range(len(kinds)): 53 ax.plot(angle, centers[i], linestyle=lstype[i], linewidth=2, label=kinds[i]) 54 # 添加属性标签 55 ax.set_thetagrids(angle * 180 / np.pi, labels) 56 plt.title('客户特征分析雷达图--number:3013',fontsize=20) 57 plt.legend(legen) 58 plt.show() 59 plt.close



浙公网安备 33010602011771号