摘要:
该笔记基于什么? 基于python3玩转机器学习这个视频, 链接:https://pan.baidu.com/s/1grK-uhV3OfO7CVRhpk3XRw提取码:1234 该笔记的主要内容与结构是什么? 主要由视频里的PPT截图(基本涵盖所有)、 Jupyter Notbook里的运行截图 以 阅读全文
该笔记基于什么? 基于python3玩转机器学习这个视频, 链接:https://pan.baidu.com/s/1grK-uhV3OfO7CVRhpk3XRw提取码:1234 该笔记的主要内容与结构是什么? 主要由视频里的PPT截图(基本涵盖所有)、 Jupyter Notbook里的运行截图 以 阅读全文
posted @ 2022-10-29 22:31
Cai-Gbro
阅读(25)
评论(0)
推荐(0)
摘要:
各函数包与函数模块之间的所属关系如图: 注意,所有函数包以及Notbook文件都是所属父文件夹的同级别文件,只有这样才能顺利调用所需函数 各函数包如下: kNN 1 import numpy as np 2 from math import sqrt 3 from collections impor 阅读全文
各函数包与函数模块之间的所属关系如图: 注意,所有函数包以及Notbook文件都是所属父文件夹的同级别文件,只有这样才能顺利调用所需函数 各函数包如下: kNN 1 import numpy as np 2 from math import sqrt 3 from collections impor 阅读全文
posted @ 2022-10-29 21:14
Cai-Gbro
阅读(108)
评论(0)
推荐(0)
摘要:
3-1 jupyter notebook基础 Notbook 示例 Notbook 源码 1 [1] 2 for x in range(5): 3 print('hello world') 4 hello world 5 hello world 6 hello world 7 hello world 阅读全文
3-1 jupyter notebook基础 Notbook 示例 Notbook 源码 1 [1] 2 for x in range(5): 3 print('hello world') 4 hello world 5 hello world 6 hello world 7 hello world 阅读全文
posted @ 2022-10-29 20:49
Cai-Gbro
阅读(63)
评论(0)
推荐(0)
摘要:
2-1 机器学习世界的数据 2-2 机器学习的主要任务 2-3 监督学习,非监督学习,半监督学习和增强学习 2-4 批量学习,在线学习,参数学习和非参数学习 2-5 和机器学习相关的哲学思考 阅读全文
2-1 机器学习世界的数据 2-2 机器学习的主要任务 2-3 监督学习,非监督学习,半监督学习和增强学习 2-4 批量学习,在线学习,参数学习和非参数学习 2-5 和机器学习相关的哲学思考 阅读全文
posted @ 2022-10-29 18:59
Cai-Gbro
阅读(27)
评论(0)
推荐(0)
摘要:
1-1导学 1-2 课程涵盖的内容和理念 阅读全文
1-1导学 1-2 课程涵盖的内容和理念 阅读全文
posted @ 2022-10-29 18:35
Cai-Gbro
阅读(46)
评论(0)
推荐(0)
摘要:
10-1 准确度的陷阱和混淆矩阵 10-2 精准率和召回率 10-3 实现混淆矩阵,精准率和召回率 Notbook 示例 Notbook 源码 1 [1] 2 import numpy as np 3 from sklearn import datasets 4 [2] 5 digits = dat 阅读全文
10-1 准确度的陷阱和混淆矩阵 10-2 精准率和召回率 10-3 实现混淆矩阵,精准率和召回率 Notbook 示例 Notbook 源码 1 [1] 2 import numpy as np 3 from sklearn import datasets 4 [2] 5 digits = dat 阅读全文
posted @ 2022-10-29 12:55
Cai-Gbro
阅读(49)
评论(0)
推荐(0)

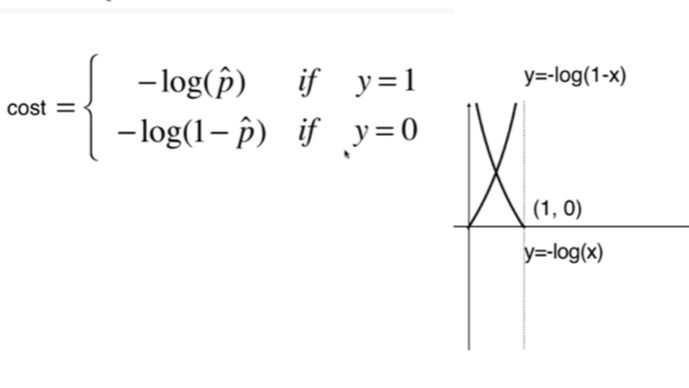
9-1 什么是逻辑回归 Notbook 示例 Notbook 源码 1 Sigmoid 函数 2 [1] 3 import numpy as np 4 import matplotlib.pyplot as plt 5 [2] 6 def sigmoid(t): 7 return 1 / (1 +
8-6 验证数据集与交叉验证 Nnotbook 示例 Notbook 源码 1 交叉验证 2 [1] 3 import numpy as np 4 from sklearn import datasets 5 [2] 6 digits = datasets.load_digits() 7 X = d
8-1 什么是多项式回归 Notbook 示例 Notbook 源码 1 [1] 2 import numpy as np 3 import matplotlib.pyplot as plt 4 [2] 5 x = np.random.uniform(-3, 3, size=100) 6 X = x
7-1 什么是PCA 7-2 使用梯度上升法求解PCA问题 7-3 求数据的主成分PCA Notbook 示例 Notbook 源码 1 使用梯度上升法求解主成分 2 [1] 3 import numpy as np 4 import matplotlib.pyplot as plt 5 [2] 6
浙公网安备 33010602011771号