第7章 PCA与梯度上升法
7-1 什么是PCA

















7-2 使用梯度上升法求解PCA问题



7-3 求数据的主成分PCA
Notbook 示例

Notbook 源码
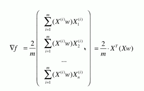
1 使用梯度上升法求解主成分 2 [1] 3 import numpy as np 4 import matplotlib.pyplot as plt 5 [2] 6 X = np.empty((100,2)) 7 X[:,0] = np.random.uniform(0,100,size=100) 8 X[:,1] = 0.75 * X[:,0] + 3. +np.random.normal(0,10,size=100) 9 [3] 10 plt.scatter(X[:,0],X[:,1]) 11 <matplotlib.collections.PathCollection at 0x20e24cb3880> 12 13 [4] 14 def demean(X): 15 return X - np.mean(X,axis=0) 16 [5] 17 (np.mean(X,axis=0)).shape 18 (2,) 19 [6] 20 X_dmean = demean(X) 21 [7] 22 plt.scatter(X_dmean[:,0],X_dmean[:,1]) 23 <matplotlib.collections.PathCollection at 0x20e24dc96a0> 24 25 [8] 26 np.mean(X_dmean[:,0]) 27 1.4281908988778012e-14 28 [9] 29 np.mean(X_dmean[:,1]) 30 -2.7142732506035826e-14 31 梯度上升法 32 [10] 33 def f(w,X): 34 return np.sum((X.dot(w) ** 2)) / len(X) 35 [11] 36 def df_math(w,X): 37 return X.T.dot(X.dot(w)) * 2.0 / len(X) 38 [12] 39 def df_debug(w, X, epsilon=0.0001): 40 res = np.empty(len(w)) 41 for i in range(len(w)): 42 w_1 = w.copy() 43 w_1[i] += epsilon 44 w_2 = w.copy() 45 w_2[i] -= epsilon 46 res[i] = (f(w_1,X) - f(w_2,X)) / (2 * epsilon) 47 return res 48 [13] 49 def direction(w): 50 return w / np.linalg.norm(w) 51 52 def gradient_ascent(df, X, initial_w, eta, n_iters = 1e5, epsilon = 1e-8): 53 w = direction(initial_w) 54 i_iters = 0 55 56 while i_iters < n_iters: 57 gradient = df(w, X) 58 last_w = w 59 w = w + eta * gradient 60 w = direction(w) # 注意1:每次求一个单位方向 61 if(abs(f(w, X)-f(last_w, X)) < epsilon ): 62 break 63 64 i_iters +=1 65 66 return w 67 [14] 68 initial_w = np.random.random(X.shape[1]) # 注意2:不能从0向量开始 69 initial_w 70 array([0.72672574, 0.65631127]) 71 [15] 72 eta = 0.001 73 [16] 74 # 注意3: 不能使用StandardScaler 标准化数据 75 [17] 76 gradient_ascent(df_debug, X_dmean,initial_w,eta) # 若梯度下降则为负 array([-0.78243378, -0.6227338 ]) 77 array([0.7703671 , 0.63760061]) 78 [18] 79 w = gradient_ascent(df_math, X_dmean,initial_w,eta) 80 [19] 81 plt.scatter(X_dmean[:,0],X_dmean[:,1]) 82 plt.plot([0,w[0]*30],[0,w[1]*30], color='r') #*********************************************************************** 83 # w 是一个向量,有 x 与 y 的分量 84 [<matplotlib.lines.Line2D at 0x20e254ec850>] 85 86 [20] 87 (w[0]*30).shape 88 () 89 [21] 90 X2 = np.empty((100,2)) 91 X2[:,0] = np.random.uniform(0,100,size=100) 92 X2[:,1] = 0.75 * X2[:,0] + 3. 93 [22] 94 plt.scatter(X2[:,0],X2[:,1]) 95 <matplotlib.collections.PathCollection at 0x20e25556160> 96 97 [23] 98 X2_dmean = demean(X2) 99 [24] 100 w2 = gradient_ascent(df_math, X2_dmean,initial_w,eta) 101 [25] 102 plt.scatter(X2_dmean[:,0],X2_dmean[:,1]) 103 plt.plot([0,w2[0]*30],[0,w2[1]*30], color='r') 104 [<matplotlib.lines.Line2D at 0x20e255bbbe0>]
7-4 求数据的前n个主成分


Notbook 示例

Notbook 源码
1 [1] 2 import numpy as np 3 import matplotlib.pyplot as plt 4 [2] 5 X = np.empty((100,2)) 6 X[:,0] = np.random.uniform(0,100,size=100) 7 X[:,1] = 0.75 * X[:,0] + 3. +np.random.normal(0,10,size=100) 8 [4] 9 def demean(X): 10 return X - np.mean(X,axis=0) 11 12 X = demean(X) 13 [5] 14 plt.scatter(X[:,0],X[:,1]) 15 <matplotlib.collections.PathCollection at 0x21b0ea71eb0> 16 17 [6] 18 def f(w,X): 19 return np.sum((X.dot(w) ** 2)) / len(X) 20 21 def df(w,X): 22 return X.T.dot(X.dot(w)) * 2.0 / len(X) 23 24 def direction(w): 25 return w / np.linalg.norm(w) 26 27 def first_componet(X, initial_w, eta, n_iters = 1e5, epsilon = 1e-8): 28 w = direction(initial_w) 29 i_iters = 0 30 31 while i_iters < n_iters: 32 gradient = df(w, X) 33 last_w = w 34 w = w + eta * gradient 35 w = direction(w) # 注意1:每次求一个单位方向 36 if(abs(f(w, X)-f(last_w, X)) < epsilon ): 37 break 38 39 i_iters +=1 40 41 return w 42 [7] 43 initial_w = np.random.random(X.shape[1]) 44 eta = 0.01 45 w = first_componet(X,initial_w,eta) 46 w 47 array([0.77709976, 0.62937744]) 48 [8] 49 X2 = np.empty(X.shape) 50 for i in range(len(X)): 51 X2[i] = X[i] - X[i].dot(w) * w 52 [14] 53 X2 = X - X.dot(w).reshape(-1,1) * w 54 [15] 55 plt.scatter(X2[:,0], X2[:,1]) 56 <matplotlib.collections.PathCollection at 0x21b11a22be0> 57 58 [12] 59 w2 = first_componet(X2,initial_w,eta) 60 w2 61 array([-0.62937344, 0.777103 ]) 62 [13] 63 w.dot(w2) 64 5.13826667680739e-06 65 [17] 66 def first_n_components(n, X, eta=0.01, n_iters=1e4, epsilon=1e-8 ): 67 68 X_pca = X.copy() 69 X_pca = demean(X_pca) 70 res = [] 71 for i in range(n): 72 initial_w = np.random.random(X_pca.shape[1]) 73 w = first_componet(X_pca,initial_w,eta) 74 res.append(w) 75 76 X_pca = X_pca - X_pca.dot(w).reshape(-1,1) * w 77 78 return res 79 [18] 80 first_n_components(2,X) 81 [array([0.77709976, 0.62937744]), array([-0.62937373, 0.77710277])]
7-5 高维数据映射为低维数据


Notbook 示例

Notbook 源码
1 从高维数据向低维数据的映射 2 [1] 3 import numpy as np 4 import matplotlib.pyplot as plt 5 [2] 6 X = np.empty((100,2)) 7 X[:,0] = np.random.uniform(0,100,size=100) 8 X[:,1] = 0.75 * X[:,0] + 3. +np.random.normal(0,10,size=100) 9 [3] 10 from playML.PCA import PCA 11 12 pca = PCA(n_components=2) 13 pca.fit(X) 14 PCA(n_components=2) 15 [4] 16 pca.components_ 17 array([[ 0.78080313, 0.62477713], 18 [ 0.62478081, -0.7808002 ]]) 19 [5] 20 pca =PCA(n_components=1) 21 pca.fit(X) 22 PCA(n_components=1) 23 [6] 24 X_reduction = pca.transform(X) 25 [7] 26 X_reduction.shape 27 (100, 1) 28 [9] 29 X_restore = pca.inverse_transform(X_reduction) 30 [10] 31 X_restore.shape 32 (100, 2) 33 [12] 34 plt.scatter(X[:,0],X[:,1],color='b',alpha=0.5) 35 plt.scatter(X_restore[:,0],X_restore[:,1],color='r',alpha=0.5) 36 <matplotlib.collections.PathCollection at 0x1e67905a550> 37 38 scikit-learn 中的 PCA 39 [13] 40 from sklearn.decomposition import PCA 41 [14] 42 pca = PCA(n_components=1) 43 pca.fit(X) 44 PCA(n_components=1) 45 [15] 46 pca.components_ 47 array([[0.78080305, 0.62477724]]) 48 [16] 49 X_reduction = pca.transform(X) 50 [17] 51 X_reduction.shape 52 (100, 1) 53 [18] 54 X_restore = pca.inverse_transform(X_reduction) 55 [19] 56 X_restore.shape 57 (100, 2) 58 [20] 59 plt.scatter(X[:,0],X[:,1],color='b',alpha=0.5) 60 plt.scatter(X_restore[:,0],X_restore[:,1],color='r',alpha=0.5) 61 <matplotlib.collections.PathCollection at 0x1e67a427ee0>
7-6 scikit-learn中的PCA
Notbook 示例

notbook 源码
1 scikit-learn中的PCA 2 [1] 3 import numpy as np 4 import matplotlib.pyplot as plt 5 from sklearn import datasets 6 [2] 7 digits = datasets.load_digits() 8 X = digits.data 9 y = digits.target 10 [3] 11 from sklearn.model_selection import train_test_split 12 X_train, X_test, y_train, y_test = train_test_split(X, y,random_state=666) 13 [4] 14 X_train.shape 15 (1347, 64) 16 [5] 17 %%time 18 from sklearn.neighbors import KNeighborsClassifier 19 20 knn_clf = KNeighborsClassifier() 21 knn_clf.fit(X_train,y_train) 22 CPU times: total: 78.1 ms 23 Wall time: 288 ms 24 25 KNeighborsClassifier() 26 [6] 27 knn_clf.score(X_test,y_test) 28 0.9866666666666667 29 [7] 30 from sklearn.decomposition import PCA 31 32 pca = PCA(n_components=2) 33 pca.fit(X_train) 34 X_train_reduction = pca.transform(X_train) 35 X_test_reduction = pca.transform(X_test) 36 [8] 37 %%time 38 knn_clf = KNeighborsClassifier() 39 knn_clf.fit(X_train_reduction,y_train) 40 CPU times: total: 15.6 ms 41 Wall time: 1.99 ms 42 43 KNeighborsClassifier() 44 [9] 45 knn_clf.score(X_test_reduction,y_test) 46 0.6066666666666667 47 [10] 48 pca.explained_variance_ratio_ 49 array([0.14566817, 0.13735469]) 50 [11] 51 pca = PCA(n_components=X_train.shape[1]) 52 pca.fit(X_train) 53 pca.explained_variance_ratio_ 54 array([1.45668166e-01, 1.37354688e-01, 1.17777287e-01, 8.49968861e-02, 55 5.86018996e-02, 5.11542945e-02, 4.26605279e-02, 3.60119663e-02, 56 3.41105814e-02, 3.05407804e-02, 2.42337671e-02, 2.28700570e-02, 57 1.80304649e-02, 1.79346003e-02, 1.45798298e-02, 1.42044841e-02, 58 1.29961033e-02, 1.26617002e-02, 1.01728635e-02, 9.09314698e-03, 59 8.85220461e-03, 7.73828332e-03, 7.60516219e-03, 7.11864860e-03, 60 6.85977267e-03, 5.76411920e-03, 5.71688020e-03, 5.08255707e-03, 61 4.89020776e-03, 4.34888085e-03, 3.72917505e-03, 3.57755036e-03, 62 3.26989470e-03, 3.14917937e-03, 3.09269839e-03, 2.87619649e-03, 63 2.50362666e-03, 2.25417403e-03, 2.20030857e-03, 1.98028746e-03, 64 1.88195578e-03, 1.52769283e-03, 1.42823692e-03, 1.38003340e-03, 65 1.17572392e-03, 1.07377463e-03, 9.55152460e-04, 9.00017642e-04, 66 5.79162563e-04, 3.82793717e-04, 2.38328586e-04, 8.40132221e-05, 67 5.60545588e-05, 5.48538930e-05, 1.08077650e-05, 4.01354717e-06, 68 1.23186515e-06, 1.05783059e-06, 6.06659094e-07, 5.86686040e-07, 69 1.71368535e-33, 7.44075955e-34, 7.44075955e-34, 7.15189459e-34]) 70 [12] 71 plt.plot([i for i in range(X_train.shape[1])], 72 [np.sum(pca.explained_variance_ratio_[:i+1]) for i in range(X_train.shape[1])] 73 ) 74 [<matplotlib.lines.Line2D at 0x1d015480880>] 75 76 [13] 77 pca = PCA(0.95) 78 pca.fit(X_train) 79 PCA(n_components=0.95) 80 [14] 81 pca.n_components_ 82 28 83 [15] 84 X_train_reduction = pca.transform(X_train) 85 X_test_reduction = pca.transform(X_test) 86 [16] 87 %%time 88 knn_clf = KNeighborsClassifier() 89 knn_clf.fit(X_train_reduction,y_train) 90 CPU times: total: 0 ns 91 Wall time: 1.99 ms 92 93 KNeighborsClassifier() 94 [17] 95 knn_clf.score(X_test_reduction,y_test) 96 0.98 97 [19] 98 pca = PCA(n_components=2) 99 pca.fit(X) 100 X_reduction = pca.transform(X) 101 [20] 102 X_reduction.shape 103 (1797, 2) 104 [22] 105 for i in range(10): 106 plt.scatter(X_reduction[y==i,0],X_reduction[y==i,1],alpha=0.8)
7-7 试手MNIST数据集
Notbook 示例

Notbook 源码
1 MNIST 2 [1] 3 import numpy as np 4 from sklearn.datasets import fetch_openml 5 [2] 6 %time mnist = fetch_openml('mnist_784') 7 CPU times: total: 3min 41s 8 Wall time: 5min 5s 9 10 [3] 11 # mnist 12 [4] 13 X, y = mnist['data'],mnist['target'] 14 [5] 15 X.shape 16 (70000, 784) 17 [6] 18 X_train = np.array(X[:60000],dtype=float) 19 y_train = np.array(y[:60000],dtype=float) 20 X_test = np.array(X[60000:],dtype=float) 21 y_test = np.array(y[60000:],dtype=float) 22 [7] 23 X_train.shape 24 (60000, 784) 25 [8] 26 y_train.shape 27 (60000,) 28 [9] 29 X_test.shape 30 (10000, 784) 31 [10] 32 y_test.shape 33 (10000,) 34 [11] 35 from sklearn.neighbors import KNeighborsClassifier 36 knn_clf = KNeighborsClassifier() 37 %time knn_clf.fit(X_train,y_train) 38 CPU times: total: 93.8 ms 39 Wall time: 131 ms 40 41 KNeighborsClassifier() 42 [12] 43 %time knn_clf.score(X_test,y_test) 44 CPU times: total: 2min 56s 45 Wall time: 2min 12s 46 47 0.9688 48 PCA 进行降维 49 [13] 50 from sklearn.decomposition import PCA 51 52 pca = PCA(0.9) 53 pca.fit(X_train) 54 X_train_reduction = pca.transform(X_train) 55 [14] 56 X_train_reduction.shape 57 (60000, 87) 58 [15] 59 knn_clf = KNeighborsClassifier() 60 %time knn_clf.fit(X_train_reduction,y_train) 61 CPU times: total: 31.2 ms 62 Wall time: 21.9 ms 63 64 KNeighborsClassifier() 65 [16] 66 X_test_reduction = pca.transform(X_test) 67 [17] 68 %time knn_clf.score(X_test_reduction,y_test) 69 CPU times: total: 40.1 s 70 Wall time: 47 s 71 72 0.9728
7-8 使用PCA对数据进行降噪
Notbook 示例


Notbook 源码
回忆我们之前的例子 [1] import numpy as np import matplotlib.pyplot as plt [2] X = np.empty((100,2)) X[:,0] = np.random.uniform(0,100,size=100) X[:,1] = 0.75 * X[:,0] + 3. + np.random.normal(0,10,size=100) [3] plt.scatter(X[:,0],X[:,1]) <matplotlib.collections.PathCollection at 0x18a08e43820> [4] from sklearn.decomposition import PCA pca = PCA(n_components=1) pca.fit(X) X_reduction = pca.transform(X) X_restore = pca.inverse_transform(X_reduction) [5] plt.scatter(X_restore[:,0],X_restore[:,1]) <matplotlib.collections.PathCollection at 0x18a0b8a63a0> 手写识别的例子 [6] from sklearn import datasets digits = datasets.load_digits() X = digits.data y = digits.target [7] noisy_digits = X + np.random.normal(0,4,size=X.shape) [8] X.shape (1797, 64) [9] example_digits = noisy_digits[y==0,:][:10] for num in range(1,10): X_num = noisy_digits[y==num,:][:10] example_digits = np.vstack([example_digits,X_num]) [10] example_digits.shape (100, 64) [11] def plot_digits(data): fig,axes = plt.subplots(10,10,figsize=(10,10), subplot_kw={'xticks':[],'yticks':[]}, gridspec_kw=dict(hspace=0.1,wspace =0.1)) for i,ax in enumerate(axes.flat): ax.imshow(data[i].reshape(8,8), cmap='binary',interpolation='nearest', clim=(0,16)) plot_digits(example_digits) [12] pca = PCA(0.5) pca.fit(noisy_digits) PCA(n_components=0.5) [13] pca.n_components_ 12 [14] components = pca.transform(example_digits) filtered_digits = pca.inverse_transform(components) plot_digits(filtered_digits)
7-9 人脸识别与特征脸
Notbook 示例

Notbook 源码
1 特征脸 2 [1] 3 import numpy as np 4 import matplotlib.pyplot as plt 5 [2] 6 from sklearn.datasets import fetch_lfw_people 7 [3] 8 faces = fetch_lfw_people() 9 [5] 10 faces.keys() 11 dict_keys(['data', 'images', 'target', 'target_names', 'DESCR']) 12 [7] 13 faces.data.shape 14 (13233, 2914) 15 [8] 16 faces.images.shape 17 (13233, 62, 47) 18 [10] 19 random_indexes = np.random.permutation(len(faces.data)) 20 X = faces.data[random_indexes] 21 [12] 22 example_faces = X[:36,:] 23 example_faces.shape 24 (36, 2914) 25 [13] 26 def plot_faces(faces): 27 fig,axes = plt.subplots(6,6,figsize=(10,10), 28 subplot_kw={'xticks':[],'yticks':[]}, 29 gridspec_kw=dict(hspace=0.1,wspace =0.1)) 30 31 32 for i,ax in enumerate(axes.flat): 33 ax.imshow(faces[i].reshape(62,47), 34 cmap='bone') 35 36 plot_faces(example_faces) 37 38 [14] 39 faces.target_names 40 array(['AJ Cook', 'AJ Lamas', 'Aaron Eckhart', ..., 'Zumrati Juma', 41 'Zurab Tsereteli', 'Zydrunas Ilgauskas'], dtype='<U35') 42 [15] 43 len(faces.target_names) 44 5749 45 特征脸 46 [16] 47 from sklearn.decomposition import PCA 48 pca = PCA(svd_solver='randomized') 49 pca.fit(X) 50 PCA(svd_solver='randomized') 51 [17] 52 pca.components_.shape 53 (2914, 2914) 54 [18] 55 plot_faces(pca.components_[:36,:]) 56 57 [20] 58 faces2 = fetch_lfw_people(min_faces_per_person=60) 59 [21] 60 faces2.data.shape 61 (1348, 2914) 62 [22] 63 faces2.target_names 64 array(['Ariel Sharon', 'Colin Powell', 'Donald Rumsfeld', 'George W Bush', 65 'Gerhard Schroeder', 'Hugo Chavez', 'Junichiro Koizumi', 66 'Tony Blair'], dtype='<U17') 67 [23] 68 len(faces2.target_names) 69 8

浙公网安备 33010602011771号