傅里叶级数的推导

周期函数是客观世界中周期运动的数学表述,大多可以表示为:
     

00
然而许多周期信号并非正弦函数那么简单,傅里叶猜想用一系列的三角函数之和来表示那个较复杂的周期函数f(t),于是就有以下式子:
     
01
首先先对该式子进行三角函数变形:
     
02
再把常数项给简化:
     
03
很明显,我们只需要解出A0,an,bn的值就可以了。
关于三角函数的正交性,有以下式子:
     
04
注意:第4,5个式子中的k与n不相等,第3个式子的k与n可以相同。后三个式子还可以写成以下形式:
     
05
当k不等于n时,有:
     
06
其他式子也可由上面方式同理可以证出。
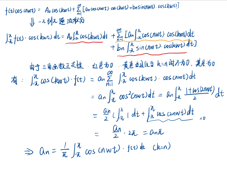
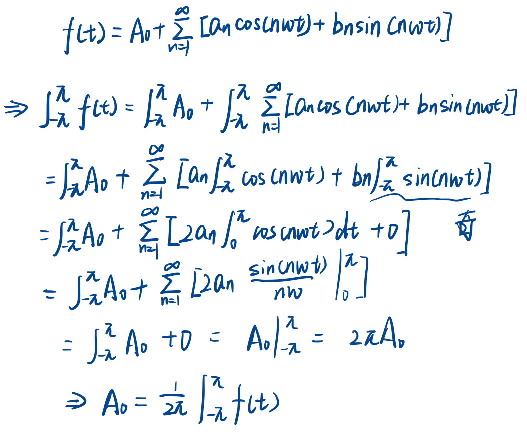
先把傅里叶级数写成刚才那个式子,并对其从-Π到Π进行积分,可得:
     
07
目前我们就把A0求出来了
再利用之前那个式子,在他两边同时乘上cos(kwt),**就可以将an求出来**:
     
08
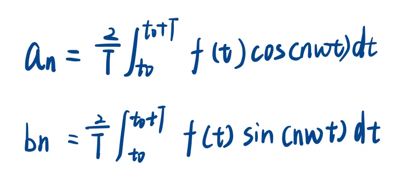
同理,两边同时乘上sin(kwt),就可以将bn求出了:
     
09
因为A0分母为2Π,而an,bn为Π,我们令a0=2A0,就有:
     
10
变形为:
     
11
书上的推导的时候假设的T=2Π,代入就得到的以下式子,不影响,随T不同而不同:
     
12

posted @ 2022-03-17 14:29  AzathothLXL  阅读(928)  评论(0)    收藏  举报